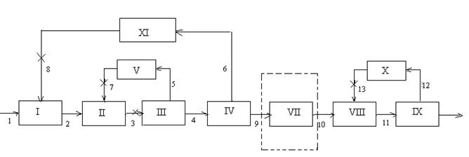
Приемы разрывов рас-м на следующей схеме.
Данная схема состоит из 10 эл-ов и 14 связей, и содержит 3 контура:
I-II-III-IV-VI-I.
II-III-V-II.
VIII-IX-X-VIII.
Первые 2 контура взаимосвязаны и явл-ся контурами 1 ранга. Третий контур независимый, явл-ся контуром нулевого ранга.
Очевидно, если разорвать связи 7, 8, 13, мы будем иметь сис-му у-ний, состоящую из 9 у-ний, если все связи будут 3-х параметрическими.




Однако если учесть, что 3 контур независим от первых двух, что отражается на схеме тем, что данную сис-му можно разделить на 2 подсис-мы, по связи 9-10, слабым связям, т.е. вводная сис-ма разбивается на 2 подсис-мы состоящие, соответственно из 6 и из 3 у-ний.
Дальнейший анализ показывает, т.к. 1 и 2 контуры взаимосвязаны, то они имеют общие связи, разрыв одной из которых приводит к разрыву сразу обоих контуров. В данной схеме такой связью явл-ся связь 3: следовательно, окончательно, мы имеем 2 замыкающие сис-мы у-ний по связям 3 и 13, каждая из которых состоит из 3 у-ний. Следовательно, в сложных технологических имеются оптимальные варианты перехода от замкнутой структуры, к условно разомкнутой.
При этом правильный выбор разрываемых потоков или связей, позволяет существенно понизить размерность сис-мы нелинейных у-ний к решению которых сводится расчет технологической схемы, или заменить сис-му у-ний высокого порядка на несколько независимых сис-м более низкого порядка. Применяют 2 основные операции с помощью которых возможно понизить размерность решаемой задачи:
1-ая операция закл-ся в том, что в схеме необходимо выделять эл-ты охваченные контурами и эл-ты, не входящие ни в один из контуров.
Когда схему можно разделить на подсис-му и расчет разделить на расчет сис-м у-ний, отдельных контуров и расчет у-ний, не входящих в контуры.
2-ая операция – выбор внутри каждого контура, в определенном смысле наилучших совокупностей связей, разрыв которых превращает в контур разомкнутую схему.
Наилучшей можно назвать такую совокупность связей, сумма пар-ров которой явл-ся минимальной.
| № контура | Номер внутренних связей |
| |||||||||||






