Индексы
Индексами называют сравнительные относительные величины, которые характеризуют изменение сложных социально-экономических показателей (показатели, состоящие из несуммируемых элементов) во времени, в пространстве, по сравнению с планом.
Индекс - это результат сравнения двух одноименных показателей, при исчислении которого следует различать числитель индексного отношения (сравниваемый или отчетный уровень) и знаменатель индексного отношения (базисный уровень, с которым производится сравнение). Выбор базы зависит от цели исследования. Если изучается динамика, то за базисную величину может быть взят размер показателя в периоде, предшествующем отчетному. Если необходимо осуществить территориальное сравнение, то за базу можно принять данные другой территории. За базу сравнения могут приниматься плановые показатели, если необходимо использовать индексы как показатели выполнения плана.
Признак изменение которого характеризует индекс называется индексируемым.
|
|
|
Признак-вес выполняет функцию веса по отношению к индексируемому признаку.
При построении индексов решают следующие вопросы: 1) определение вида индекса и вида показателей с помощью которых строится индекс; 2) выбор базы (а) данные по той же совокупности и по тому же признаку за предшествующий период; б) плановое задание; в) данные по какой-либо другой совокупности, сходной по характеру с изучаемой).
При установлении базы необходимо соблюдать следующие правила: сопоставимость базисных и отчетных данных; обеспечить типичность базовых данных.
По степени охвата элементов явления индексы делят на индивидуальные и общие (сводные).
Индивидуальные индексы (i) - это индексы, которые характеризуют изменение только одного элемента совокупности.
Общий (сводный) индекс (I) характеризует изменение по всей совокупности элементов сложного явления. Если индексы охватывают только часть явления, то их называют групповыми.
В зависимости от способа изучения общие индексы могут быть построены или как агрегатные (от лат. аggrega - присоединяю) индексы, или как средние взвешенные индексы (средние из индивидуальных).
Способ построения агрегатных индексов заключается в том, что при помощи так называемых соизмерителей можно выразить итоговые величины сложной совокупности в отчетном и базисном периодах, а затем первую сопоставить со второй.
Если индексы можно рассчитать на основе сравнения двух сумм, полученных, например, путем умножения среднесписочной численности работников в базисном и отчетном периоде (по каждому j предприятию, структурному подразделению и т.д.) t0j и t1j и средней заработной - z0j и z1j, то такие индексы называют агрегатными. Таким образом, общие индексы могут быть рассчитаны не только через осреднение индивидуальных индексов, а и на основе сравнения двух сумм (агрегатов). Агрегатные индексы считаются основной формой индексов. Они выполняют две функции: синтетическую и аналитическую.
|
|
|
Первая функция обеспечивается тем, что в одном индексе обобщаются (синтезируются) непосредственно несоизмеримые явления, когда мы записываем
(где z – средняя заработная плата, а t – среднесписочная численность работников), то благодаря использованию денежного соизмерителя можно агрегировать данные по различным категориям работников (несопоставимым по натуральным измерителям).
Аналитическая функция вытекает из взаимосвязи индексов, т.к. практически каждый индекс можно рассматривать как составляющую некой системы индексов, в которой его роль сводится к измерению одного из факторов общего изменения сложного явления и вклада этого фактора в соответствующее изменение.
Так, например, индекс цен можно рассматривать как показатель влияния изменения средней заработной платы на фонд оплаты труда, что основано на следующей связи признаков: среднесписочная численность * средняя заработная плата = фонд оплаты труда или tz = w. Системе признаков соответствует система индексов.
и 
Когда мы указывает индекс среднесписочной численности работников или индекс средней заработной платы, мы имеем в виду изменение фонда оплаты труда за счет изменения среднесписочной численности работников или средней заработной платы.
При построении агрегатных индексов пользуются такими понятиями, как индексируемый признак и признак-вес. Индексируемый признак – это признак, изменение которого характеризует данный индекс. Например, в It – это t. Значение индексируемого признака изменяется, т.е. отчетное значение сопоставляется с базисным.
Признак-вес выполняет функцию веса по отношению к индексируемому признаку, его значение в индексе принимается постоянным, т.к. он не должен искажать оценку изменения индексируемого признака. Например, в It – это z.
Если индексы рассматриваются в системе, то должна обеспечиваться взаимосвязь между ними: It * Iz = Iw
Расчет среднего индекса применяется при определении общего индекса или общего изменения состояния изучаемого объекта. Так как расчет среднего индекса как отношения суммы индивидуальных признаков в текущем и базисном периоде (
) или как простой средней из индивидуальных индексов (
), т.е. невзвешенных средних арифметических не учитывает объемов и структуры изучаемого объекта, то применяют взвешенную среднюю.
Для расчета среднего индекса может использоваться другие формы средних величин.
Средняя геометрическая: 
Средняя гармоническая невзвешенная рассчитывается по формуле:

Индексы с постоянными и переменными весами и метод выявления роли факторов динамики сложных явлений.
При построении агрегатных индексов веса могут быть закреплены на базисном, отчетном или смешанном уровнях. При закреплении весов только на базисном или только на отчетном уровне, постоянных весов, равенство
It * Iz = Iw не выполняется. Например, 
Только когда взаимосвязанные индексы строятся с весами разных периодов, увязка их в системе выполняется. Например,
. В приведенном примере индексы первичных признаков стоятся на весах базисного периода, вторичных – на весах отчетного периода. Отечественная статистика в своей практике придерживалась именно такого подхода. Но при таком подходе значение полученных индексов при изменении последовательности признаков различаются, т.е. если в модели tz = w t и z поменять местами значения полученных индексов будут иметь расхождения.
Различие между индексами с разными весами можно объяснить при помощи уравнения В.И. Борткевича (1868 – 1931):
|
|
|

, где
- корреляция между изменением цен и объемом продаж на отдельные товары,
- темпы изменения объемов реализованных товаров и цен соответственно.
Таким образом, из формулы видно, что индексы с отчетными и базисными весами будут равны, если выполняется хотя бы одно из условий:
,
,
. Чем больше величина сравниваемого периода, тем сильнее проявляется различие.
Однако на практике, как правило, стремятся получить однозначное решение тем или иным способом. Первый способ заключается в получении средних оценок изменений, либо путем построения индексов на средних весах 
либо через осреднение равновзвешенных индексов. При этом предпочтение отдается средней геометрической. 
Второй путь основан на предпочтении какого-то одного варианта построения взаимосвязанных индексов, применялся в отечественной практике.
В статистике имеют большое значение индексы переменного и фиксированного состава, которые используются при анализе динамики средних показателей.
Индексом переменного состава называют отношение двух средних уровней.

Индекс фиксированного состава есть средний из индивидуальных индексов. Он рассчитывается как отношение двух стандартизованных средних, где влияние изменения структурного фактора устранено, поэтому данный индекс называют еще индексом постоянного состава.


В зависимости от характера и содержания индексируемых величин различают индексы количественных (объемных) показателей и индексы качественных показателей.
К индексам количественных (объемных) показателей относятся такие индексы, как индексы физического объема производства продукции, затрат на выпуск продукции, стоимости продукции, а также индексы показателей, размеры которых определяются абсолютными величинами. Используются различные виды индексов количественных показателей.
Индекс физического объема продукции (ФОП) отражает изменение выпуска продукции.
Индивидуальный индекс ФОП отражает изменение выпуска продукции одного вида и определяется по формуле
|
|
|
![]() |
где q1 и q0 - количество продукции данного вида в натуральном выражении в текущем и базисном периодах.
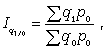
Агрегатный индекс ФОП отражает изменение выпуска всей совокупности продукции, где индексируемой величиной является количество продукции q, а соизмерителем - цена р:
![]() |
где q1 и q0 - количество выработанных единиц отдельных видов продукции соответственно в отчетном и базисном периодах; p0 - цена единицы продукции (отдельного вида) в базисном периоде.
При вычислении индекса ФОП в качестве соизмерителей может выступать также себестоимость продукции или трудоемкость.
Средние взвешенные индексы ФОП используются в том случае, если известны индивидуальные индексы объема по отдельным видам продукции и стоимость отдельных видов продукции (или затраты) в базисном или отчетном периоде.
Средний взвешенный арифметический индекс ФОП определяется по формуле
![]() |
где iq - индивидуальный индекс по каждому виду продукции; q0 p0 - стоимость продукции каждого вида в базисном периоде.
Средний взвешенный гармонический индекс ФОП
![]() |
где q1 p1 - стоимость продукции каждого вида в текущем периоде.
Аналогично рассчитывается индекс затрат на выпуск продукции, который отражает изменение затрат на производство и может быть как индивидуальным, так и агрегатным.
Между индексами существует также взаимосвязь и взаимозависимость, как и между самими экономическими явлениями, что позволяет проводить факторный анализ. Благодаря индексному методу можно рассматривать все факторы независимо друг от друга, что дает возможность определить размер абсолютного изменения сложного явления за счет каждого фактора в отдельности.
Предположим, что результативный признак зависит от трех факторов и более. В этом случае результативный индекс примет вид
![]() |
Изменение результативного индекса за счет каждого фактора может быть выражено следующим образом:




Для выявления роли каждого фактора в отдельности индекс сложного показателя разлагают на частные (факторные) индексы, которые характеризуют роль каждого фактора. При этом используют два метода: метод обособленного изучения факторов; последовательно-цепной метод.
При первом методе сложный показатель берется с учетом изменения лишь того фактора, который взят в качестве исследуемого, все остальные остаются неизменными на уровне базисного периода.
Последовательно-цепной метод предполагает использование системы взаимосвязанных индексов, которая требует определенного расположения факторов. Как правило, на первом месте в цепи располагают качественный фактор. При определении влияния первого фактора все остальные сохраняются в числителе и знаменателе на уровне базисного периода, при определении второго факторного индекса первый фактор сохраняется на уровне базисного периода, а третий и все последующие - на уровне отчетного периода, при определении третьего факторного индекса первый и второй факторы сохраняются на уровне базисного периода, четвертый и все остальные - на уровне отчетного периода и т.д.
Территориальные индексы.
Индексы могут быть использованы не только как показатели сравнения состояний изучаемого явления во времени, но и в пространстве, между отдельными территориями. Индексы позволяющие сравнивать различные территориальные образования между собой носят название территориальных индексов. При построении территориальных индексов применяются те же правила, что при сравнении явлении во времени, только в территориальных индексах в качестве весов используются показатели численности населения, доли в общих доходах населения от заработной платы и т.д. Кроме того, при сравнении разных территорий за один период значки «0» и «1» не используются. Использование индексов при анализе различий между территориями обусловлено следующим: индексы позволяют сопоставить территории с разным уровнем социально-экономического развития, с разным уровнем развития производства, с разной структурой потребительского рынка и доходов и т.д.




