Таблица 12
Функционально-структурная (совмещенная) модель объекта в виде матрицы
| Материальные носители (элементы) | Функция Ф1 | Функция Ф2 | |||
| Ф11 | Ф12 | ||||
| Ф111 | Ф112 | Ф121 | Ф122 | ||
| Э1 | - | - | - | - | |
| Э2 | - | 16,7 | - | - | - |
| Э3 | - | - | - | 48,9 | - |
| Э4 | - | - | 58,5 | - | - |
| Э5 | - | - | - | - | 6,25 |
Примечание. На пересечении строк и столбцов
указано распределение затрат по функциям.

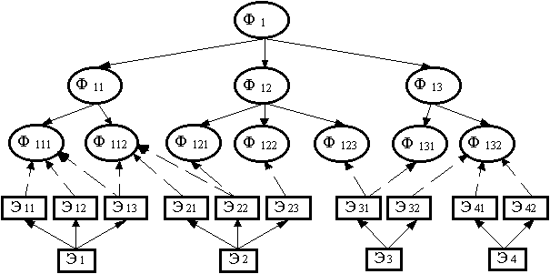
Рис. 13. Функционально-структурная модель в виде графа
Структурная модель (СМ) объекта — условное изображение (как правило, в виде графа), отражающее состав и соподчиненность его материальных элементов (носителей функций).
Совмещенная модель служит для определения затрат на функции в сопоставлении их значимости. На первом этапе анализа объекта совмещенная модель позволяет сделать некоторые выводы о степени рациональности конструкции (см. фрагменты графов рис. 6.14—6.17), отражающих варианты совмещенных моделей.

Рис. 14. Фрагмент совмещенной модели (невыполняемая функция Ф122)

Рис. 15. Фрагмент совмещенной модели (лишний элемент Э6)

Рис. 16. Фрагмент совмещенной модели (дублирование выполняемой функции Ф122)
|
|
|

Рис. 17. Фрагмент совмещенной модели (один из элементов системы Э4 несет значительную нагрузку)
Дальнейший более глубокий анализ осуществляется на основе функционально-стоимостной диаграммы (рис. 6.18).

Рис. 18. Функционально-стоимостная диаграмма
Функционально-стоимостная диаграмма представляет собой совмещенную диаграмму значимости функций с точки зрения целей системы более высокого порядка и структуры затрат на объект, построенный по функциям.
Диаграмма строится в едином масштабе: значимость функций в долях единицы, доля функций в затратах — также в долях единицы.
Построенная таким образом диаграмма позволяет даже визуально обнаружить функции, доля которых в затратах превосходят их значимость. Такие функции представляют собой зоны диспропорций, так как их относительная стоимость больше их относительной значимости. Эти зоны подвергаются анализу в первую очередь.
Для определения относительной значимости (а иногда и относительной стоимости) применяются методы экспертных оценок.
Расчет затрат на реализацию функций в ФСА
Нахождение излишних затрат на объект (изделие) и их устранение за счет приведения в соответствие с потребительной стоимостью, воплощенной в функциях изделия, составляет сущность ФСА.
Для решения этой задачи затраты на объект должны быть рассчитаны применительно к каждой из его функций.
Этот расчет выполняется на различных этапах ФСА:
- при построении функционально-стоимостной диаграммы (с целью выявления зон диспропорции по фактическому соотношению затрат);
- при расчете функционально-необходимых затрат.
|
|
|
Расчет затрат на функцию может осуществляться в широком диапазоне — от прямых производственных затрат при создании объекта до совокупных затрат общества на создание объекта и его использование. Степень охвата затрат зависит от того, в какой степени ФСА повлияет на их различные составляющие.
Затраты на функцию определяются как сумма затрат на материальные носители, обеспечивающие реализацию этой функции. Расчет фактических затрат ведется на основе иерархии функций, сверху вниз:
;
;
;
где Згл — затраты на реализацию главной функции;
Зоснi — затраты на реализацию i-й основной функции, обеспечивающую реализацию главной функции;
k — количество основных функций;
m — количество вспомогательных функций;
Звспij — затраты на j-ю вспомогательную функцию, обеспечивающую реализацию i-й основной функции.
,
где
— операционные затраты на материалы для j-й функции;
— операционные затраты на зарплату производственных рабочих;
— сумма расходов на содержание и эксплуатацию оборудования на данную j-ю функцию;
n — количество операций технологического процесса по материализации функции.
,
где Цf — цена единицы f-го материала;
— норма расхода f-го вида на i-й операции техпроцесса, обеспечивающего материализацию j-й функции;
F — количество видов материалов, используемых для реализации функции.
,
где C
— часовая тарифная ставка дня
-й операции;
— штучное время на
-й операции;
kq — процент доплат и дополнительной зарплаты от прямой зарплаты;
kстр — процент отчислений на социальные нужды от полной зарплаты.
= Зм.ч
,
где Зм.ч — себестоимость машино-часа работы базового оборудования;
Kм.q — машино-коэффициент для оборудования, используемого на операции;
tмqj — это норма машинного времени на q-й операции;
h — количество операций.
Более подробный расчет с учетом остальных статей производственных затрат осуществляется, если в результате ФСА в них возникают существенные изменения.
Если один или группа материальных носителей полностью работают на реализацию определенной функции, то производственные затраты на эту функцию определяются как сумма себестоимостей ее носителей (детали, сборочные единицы и т.д.). Эти затраты можно назвать автономными, т.е. такими затратами на устройство (совокупность деталей), которое может выполнять только данную функцию, не участвуя в выполнении других функций.
Следует заметить, что алгебраическая сумма автономных затрат по подфункциям не всегда дает истинное значение затрат на функцию более высокого порядка (теорию систем: свойство системы не является простой суммой свойств, входящих в нее элементов).
В связи с этим вводится понятие приростных затрат на функцию. Под приростными понимается такое изменение затрат на объект, которое вызывается прибавлением или удалением этой функции.
Обычно в качестве ведущих выделяются автономные затраты по наиболее дорогим функциям, а затраты по остальным функциям находят в виде приростных:
,
где Зоб — себестоимость объекта;
Зав — автономные затраты по ведущей функции;
Зпрi — приростные затраты на i-ю функцию;
r — количество функций объекта.






