Предположим, что решается просто одномерная краевая задача, т.е. требуется определить функцию j(х), удовлетворяющую заданному дифференциальному уравнению на отрезке 0 £ х £ Lx вместе с надлежащими краевыми условиями при х = 0 и х = Lx. как было только что показано, типичным примером такого рода задачи является задача вычисления распределения температуры j(х) в плите толщиной Lx из материала с коэффициентом теплопроводности к; на плоскостях х = 0 и х = Lx, ограничивающих плиту, сохраняются заданные значения температуры
и
соответственно, и в плите генерируется тепло со скоростью Q(x) на единицу толщины. Дифференциальное уравнение для этой задачи является уравнением (1.9), которая при предположении, что теплопроводность материала постоянно, сводится к уравнению

Соответствующие краевые условия задаются равенствами вида (5) и могут быть записаны в виде
, 
Для решения этой задачи методом конечных разностей, прежде всего, производится дискретизация независимой переменной х, т.е. строится множество (или сетка) L+1 дискретных равноотстоящих точек хl (l=0, 1, 2,…,L) на отрезке 0 £ х £ Lx х0=0, хL=Lx и хl+1-xl=
x.
|
|
|
Следующий шаг состоит в замене в дифференциальном уравнении членов, содержащих дифференцирование членами, в которых используется только алгебраические операции. Этот процесс по необходимости включает аппроксимацию и может быть выполнен путем использования конечно-разностных аппроксимаций для производных функции.
Конечно-разностные аппроксимации производных.
Основная идея метода заключается в замене частных производных их разностными аналогами. Рисунок 2 (графическая интерпретация некоторых конечно-разностных аппроксимаций для производных).

Рисунок 2.
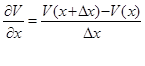
- правая схема
- левая схема
- центральная схема
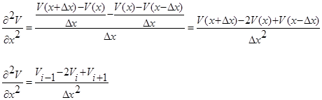
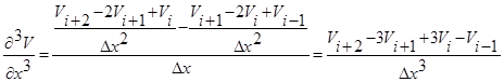
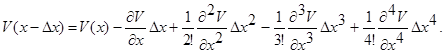
Получение разностных аналогов:
(1)
(2)
Центральная разность (1) - (2):








