В статистической обработке материала возникают различные задачи, которые необходимо решать, и поэтому в статистической практике используются различные средние величины. Математическая статистика использует различные средние, такие как: средняя арифметическая; средняя геометрическая; средняя гармоническая; средняя квадратическая.
Для того чтобы применить одну из вышеперечисленных видов средней, необходимо проанализировать изучаемую совокупность, определить материальное содержание изучаемого явления, все это делается на основе выводов, полученных из принципа осмысленности результатов при взвешивании или суммировании.
В изучении средних величин применяются следующие показатели и обозначения.
Признак, по которому находится средняя, называется осредняемым признаком и обозначается х; величина осредняемого признака у любой единицы статистической совокупности называют индивидуальным его значением, или вариантами, и обозначают как x 1, х 2, x 3,… х п; частота – это повторяемость индивидуальных значений признака, обозначается буквой f.
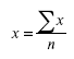
Один из наиболее распространенных видов средней – средняя арифметическая, которая исчисляется тогда, когда объем ос–редняемого признака образуется как сумма его значений у отдельных единиц изучаемой статистической совокупности.
Для вычисления средней арифметической величины сумму всех уровней признака делят на их число.

Если некоторые варианты встречаются несколько раз, то сумму уровней признака можно получить умножением каждого уровня на соответствующее число единиц совокупности с последующим сложением полученных произведений, исчисленная таким образом средняя арифметическая называется средней арифметической взвешенной.
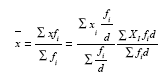
Формула средней арифметической взвешенной выглядит следующим образом:

гдехi – варианты,
fi – частоты или веса.
Взвешенная средняя величина должна употребляться во всех случаях, когда варианты имеют различную численность.
Арифметическая средняя как бы распределяет поровну между отдельными объектами общую величину признака, в действительности варьирующуюся у каждого из них.
Вычисление средних величин производят по данным, сгруппированным в виде интервальных рядов распределения, когда варианты признака, из которых исчисляется средняя, представлены в виде интервалов (от – до).
Свойства средней арифметической:
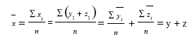
1) средняя арифметическая суммы варьирующих величин равна сумме средних арифметических величин: Если хi = yi+zi, то

Данное свойство показывает в каких случаях можно суммировать средние величины.
2) алгебраическая сумма отклонений индивидуальных значений варьирующего признака от средней равна нулю, так как сумма отклонений в одну сторону погашается суммой отклонений в другую сторону:

Это правило демонстрирует, что средняя является равнодействующей.
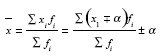
3) если все варианты ряда увеличить или уменьшить на одно и тоже число α, то средняя увеличится или уменьшится на это же число α:

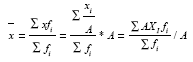
4) если все варианты ряда увеличить или уменьшить в А раз, то средняя также увеличится или уменьшится в А раз:

5) пятое свойство средней показывает нам, что она не зависит от размеров весов, но зависит от соотношения между ними. В качестве весов могут быть взяты не только относительные, но и абсолютные величины.
Если все частоты ряда разделить или умножить на одно и тоже число d, то средняя не изменится.

Средняя гармоническая. Для того чтобы определить среднюю арифметическую, необходимо иметь ряд вариантов и частот, т. е. значения х и f.
Допустим, известны индивидуальные значения признака х и произведения х/, а частоты f неизвестны, тогда, чтобы рассчитать среднюю, обозначим произведение = х/; откуда:

Далее преобразуем формулу средней арифметической так, чтобы по существующим данным хи m исчислить среднюю. Выразив в формуле средней арифметической / через х и m, получим:

Средняя в этой форме называется средней гармонической взвешенной и обозначается х гарм. взв.
Соответственно, средняя гармоническая тождественна средней арифметической. Она применима, когда неизвестны действительные веса f, а известно произведение fх = z
Когда произведения fх одинаковы или равны единицы (m = 1) применяется средняя гармоническая простая, вычисляемая по формуле:

где х – отдельные варианты;
n – число.