Для основного кинетического уравнения существует богатое семейство выпуклых функций Ляпунова — монотонно меняющихся со временем функций распределения вероятностей. Пусть
— выпуклая функция одного переменного. Для любого положительного распределения вероятностей (
) определим функцию Моримото
:
.
Производная
по времени, если
удовлетворяет основному кинетическому уравнению, есть
.
Последнее неравенство справедливо из-за выпуклости
.
Примеры функций Моримото 
,
;
эта функция — расстояние от текущего распределения вероятностей до равновесного в
-норме. Сдвиг по времени является сжатием пространства вероятностных распределений в этой норме. (О свойствах сжатий см. статью Теорема Банаха о неподвижной точке.)
,
;
эта функция — (минус) энтропия Кульбака (см. Расстояние Кульбака — Лейблера). В физике она соответствует свободной энергии, деленной на
(где
— постоянная Больцмана,
— абсолютная температура):
если
(распределение Больцмана), то
.
,
;
эта функция — аналог свободной энергии для энтропии Бурга, широко используемой в обработке сигналов:

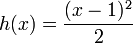
,
;
это квадратичное приближение для (минус) энтропии Кульбака вблизи точки равновесия. С точностью до постоянного во времени слагаемого эта функция совпадает с (минус) энтропией Фишера, которую даёт следующий выбор,
,
;
это (минус) энтропия Фишера.
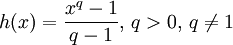
,
;
это один из аналогов свободной энергии для энтропии Тсаллиса. Энтропия Тсаллиса (Tsallis entropy)

служит основой для статистической физики неэкстенсивных величин. При
она стремится к классической энтропии Больцмана — Гиббса — Шеннона, а соответствующая функция Моримото — к (минус) энтропии Кульбака.






