Как ни старались мы упростить систему химических и дифференциальных уравнений кинетики, конечная система уравнений третьего порядка всё равно не может быть решена аналитически. Однако если мы знаем константы скоростей и начальные концентрации участников реакции, то можно рассчитать численным методом с использованием ЭВМ концентрации всех участников реакции как функцию времени. Самый простой метод - Эйлера и Коши, при котором бесконечно малые заменяются на достаточно малые приращения, а интегрирование заменяется суммированием. Процедура вычислений сводится к следующему:
1) Переписываем систему дифференциальных уравнений в виде обычных алгебраических уравнений с использованием очень малых приращений концентраций веществ и времени:

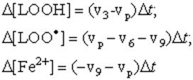
(18-20)
2) Подставляем в правые части уравнений начальные значения [LOOH], [LOO·] и [Fe2+]. Задаём достаточно малую величину t и рассчитываем величины D1[LOOH], D1[LOO·] и D1[Fe2+].
3) Находим для времени t1 = 0 + t величины:
[LOOH]1 = [LOOH]0 + D1[LOOH] (21)
[Fe2+]1 = [Fe2+]0 + D1[Fe2+] (22)
|
|
|
[LOO·]1 = [LOO.]0 + D1[LOO·] (23)
4) Исходя из новых значений текущих концентраций [LOOH], [LOO·] и [Fe2+], рассчитываем новые значения приращений концентраций D2[LOOH], D2[LOO·] и D2[Fe2+].
5) Находим для времени t2 = t1 + Dt величины:
[LOOH]2 = [LOOH]1 + D2[LOOH] (24)
[Fe2+]2 = [Fe2+]1 + D2[Fe2+] (25)
[LOO·]2 = [LOO·]1 + D2[LOO·] (26)
Повторяя операции 4 и 5, рассчитываем концентрации участников реакции перекисного окисления липидов при каждом данном значении времени.
6) Строим рассчитанные кинетические кривые и сравниваем их с данными эксперимента. В качестве такого рода экспериментальных данных могут служить кривые тапа приведенных на рис.1(суспензия митохондрий) или на рис.4.(суспензия фосфолипидных везикул - липосом).

Рис.4. Кинетика окисления ионов двухвалентного железа (Fe2+), накопления продукта перекисного окисления липидов – малонового диальдегида (MDA) и хемилюминесценции (CL) в суспензии фосфолипидных везикул – липосом






