Пусть дана прямоугольная таблица размером
, которая называется матрицей.

– элемент матрицы, расположенный в
-й строке и
-м столбце.
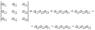
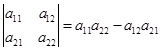
Определение 3.7: Определителем матрицы
называется алгебраическая сумма
слагаемых, составленная следующим образом: слагаемыми являются всевозможные произведения из
элементов матрицы
, взятых по одному из каждой строки и из каждого столбца матрицы, причем слагаемое берется со знаком плюс, если его индексы составляют четную подстановку, и со знаком минус – в противном случае.
Подстановка получается следующим образом: всякое слагаемое определителя имеет вид:
и определяет подстановку
, о четности которой и говорится в определении.
Определитель матрицы
обозначается одним из следующих способов:
.
В частности:
,

Определение 3.8: Матрица
называется транспонированной матрицей по отношению к матрице
.
У матрицы
столбцами являются строки матрицы
, а строками – столбцы матрицы
.
Если
, то
.






