Сгустки электронов, двигающиеся вдоль замедляющей системы, наводят в ней высокочастотные токи. Эти сторонние токи добавляются к токам волны, бегущей по замедляющей системе, в результате чего изменяется напряженность поля бегущей волны.

Рассмотрим схему замещения замедляющей системы. Реальная система показана здесь в виде однородной длинной линии без потерь с включенными в нее идеальными зазорами, свойства которой совпадают со свойствами рассматриваемой системы. Будем считать, что высокочастотное напряжение U, соответствует продольному напряжению синхронной волны, имеющемуся в реальной замедляющей системе на уровне электронного потока. Потребуем также, чтобы фазовая скорость в эквивалентной линии была равна реальной фазовой скорости, а характеристическое сопротивление совпадало бы с сопротивлением связи Rcв определенным на уровне электронного потока.
Напишем дифференциальные уравнения тока и напряжения в эквивалентной линии с учетом стороннего наведенного тока Iнавед обусловленного прохождением вдоль системы конвекционного электронного тока Iконв. С физической точки зрения наведенный ток создается в замедляющей системе в результате прохождения тока смещения между электронными сгустками и проводниками замедляющей системы.
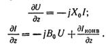
Для элемента линии длиной дz при погонном сопротивлении jX0 и при погонной проводимости jB0 имеем:




В отсутствие электронного пучка, т. е. при Iконв =0, линия обладает «холодными» параметрами, определяющимися из условия

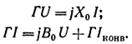
где Г0 — постоянная распространения в «холодной» линии. Таким образом, уравнение
приобретает вид

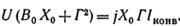
Выразим величину Х0, через «холодное» волновое сопротивление эквивалентной линии.



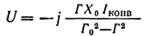
Это уравнение показывает, какое напряжение наводится в линии под действием модулированного по плотности конвекционного тока, если не учитывать обратного действия поля на электронный поток.






