Магнетронные генераторы, находящие сейчас широкое применение, имеют большую и сложную историю развития.
Поведение диодов в магнитном поле явилось предметом многочисленных опытов вскоре после создания первых электронных ламп. Сверхвысокочастотные колебания в диодах, помещенных в постоянное магнитное поле, были обнаружены еще в 1920—1924 гг. Толчком к этим исследованиям в значительной мере явились эксперименты по возбуждению колебаний в схеме тормозящего поля.
Установлено, что существуют три основных типа колебаний в магнетронах, различающихся своим электронным механизмом:
1) колебания циклотронного типа;
2) колебания типа отрицательного сопротивления;
3) колебания типа бегущей волны.
Наибольший практический интерес представляют колебания типа бегущей волны, которые происходят в многорезонаторных магнетронах, разработанных впервые в 1938—1940 гг. Н. Ф. Алексеевым и Д. Е. Маляровым. Этому типу колебаний уделяется в дальнейшем основное внимание.
Развитие многорезонаторных магнетронов привело к разработке мощных высокоэффективных автогенераторов, играющих важнейшую роль в технике СВЧ. Вместе с тем разработки и исследования магнетронных генераторов стимулировали появление большого класса приборов СВЧ магнетронного типа — ламп бегущей волны М-типа, ламп обратной волны Ж-типа и платинотронов. Общим признаком магнетронов и других приборов М-типа является присутствие в междуэлектродном пространстве скрещенных постоянных электрического и магнитного полей.
Устройство типичного многорезонаторного магнетрона.

1—анодный блок; 2— катод, 3—резонатор типа щель— отверстие, 4 —пространство взаимодействия; 5 — вывод энергии.
Анодом магнетрона является сплошной цилиндрический медный блок, разделенный на сегменты продольными щелями. Эти щели входят в состав полых резонаторов, расположенных на равных расстояниях по окружности анода. Катод магнетрона имеет цилиндрическую форму и расположен внутри анода вдоль его оси.
Постоянное магнитное поле В направлено вдоль оси прибора, т. е. перпендикулярно плоскости чертежа на второй проекции.
Постоянное или импульсное анодное напряжение Ua приложено между катодом и анодом и создает электрическое поле, перпендикулярное к направлению магнитного поля. Постоянное электрическое поле магнетрона является для электронов ускоряющим, вследствие чего они при движении к аноду отбирают у этого поля, а следовательно, и у источника питания энергию. Вывод СВЧ энергии производится обычно от одного из резонаторов, например, с помощью петли и коаксиальной линии.
Анализ работы многорезонаторных магнетронов показывает, что их действие можно наглядно рассматривать на основе бегущих волн, распространяющихся по внутренней поверхности анодного блока, обращенной к катоду. Это и послужило основанием для названия «колебания типа бегущей волны».
В пространстве взаимодействия между катодом и анодом магнетронов происходят все процессы, которые должны присутствовать в любом электронном генераторе и усилителе СВЧ: управление электронным потоком, образование сгустков и отдача энергии высокочастотному электрическому полю. В магнетронах нет разделенных в пространстве областей управления, группировки и отдачи энергии, которые имеются, например, в клистронах. Это обстоятельство, наряду со сложным характером движения электронов, значительно осложняет изучение процессов в магнетронах.
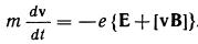
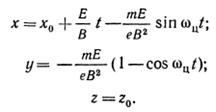
Уравнение движения электрона имеет вид:


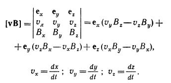
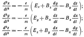
Таким образом, скалярные уравнения движения электрона в прямоугольной системе координат имеют вид

Систему координат удобно ориентировать относительно электродов магнетрона таким образом, чтобы иметь положительное направление векторов Е и В.

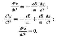
Окончательно исходные уравнения движения электрона в скрещенных полях принимают вид:

Решение данной системы уравнений:

где wц – круговая циклотронная частота

Траектории электронов являются, таким образом, плоскими кривыми, лежащими в плоскости z == z0 = const. Начальная координата х0 лишь сдвигает траекторию вдоль оси х.
Рассматривая уравнения, нетрудно убедиться, что они выражают в параметрической форме один из частных случаев трохоид — циклоиду.

где υ ц — скорость центра равномерно катящегося круга. Через R, обозначен радиус катящегося круга; r — расстояние точки, описывающей трохоиду, от центра круга; φ — угол поворота круга.

Т. о. электрон описывает циклоидальную траекторию, которая характеризуется радиусом, равным

Скорость движения центра круга оказывается равной

Рассмотрим замкнутую цепочку из N полых резонаторов, расположенных на равных расстояниях по внутренней поверхности анодного блока магнетрона. Предположим, что все резонаторы полностью идентичны; каждый из резонаторов в рассматриваемом диапазоне частот возбуждается только на одном (низшем) виде колебаний. Такую цепочку вместе с катодом можно рассматривать, как свернутую в кольцо периодическую замедляющую систему, являющуюся одной из разновидностей гребенчатых систем с металлической «подошвой».
Условием резонанса в любом кольцевом резонаторе является целое число длин волн в рассматриваемой линии, укладывающихся по длине кольца. Если обозначить длину волны в замедляющей системе (в азимутальном направлении по поверхности анода магнетрона) через λзам, то условие резонанса кольцевого резонатора приобретает вид

где r а — радиус анода магнетрона.
Это же условие можно выразить через разность фаз колебаний φ в любых двух соседних резонаторах. При обходе вдоль всей окружности по внутренней поверхности анода полный сдвиг фазы в замкнутом кольце должен быть кратен 2π:

Отсюда вытекает, что разность фаз колебаний в резонаторах может принимать только дискретные значения, определяемые соотношением

Замедляющая система анодного блока имеет периодический характер; длина пространственного периода по поверхности анода равна

Фазовая скорость основной волны определяется из условия, что путь L между двумя резонаторами, равный
волна проходит за время ∆t, связанное с разностью фаз колебаний в соседних резонаторах φ условием φ= ω∆t. Через ω здесь обозначена круговая частота колебаний, близкая к резонансной частоте п- говида. Используя
и обозначая фазовую скорость, соответствующую n-му виду колебаний, через (Uф)n, получаем:

Резонаторы между собой имеют индуктивную связь, поэтому частота колебаний в магнетроне определяется по формуле:








