Выразим напряжение U через напряженность продольного электрического поля в замедляющей системе. Полагая

можно связать амплитуду напряжения U1 с амплитудой напряженности Ezm соотношениями

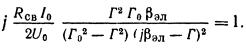
Подставим величину конвекционного тока,

в уравнение
. С учетом
и
получаем характеристическое (дисперсионное) уравнение ЛБВ в виде

Основной интересующей нас величиной в этом уравнении является постоянная распространения Г в присутствии электронного луча. В самом деле, затухание или нарастание волны определяется действительной частью постоянной Г. Поскольку непосредственное решение оказывается весьма громоздким, следует задаться разумными допущениями.
Из качественных соображений было показано, что наибольший интерес представляет случай, когда средняя скорость электронов v0 близка к фазовой скорости волны. С другой стороны, можно интуитивно предположить, что постоянная распространения Г в присутствии электронного пучка не должна существенно отличаться от постоянной распространения Г0 в «холодной» замедляющей системе. Поэтому имеет смысл подробнее проанализировать характеристическое уравнение при близких значениях Г, Г0 и βэл.
|
|
|
Допустим, что электронное волновое число рэл в точности равно фазовой постоянной «холодной» замедляющей системы, т. е.

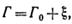
Таким образом, положим в основу дальнейших расчетов, что начальная скорость электронов сделана в точности равной фазовой скорости замедленной волны в отсутствие электронного потока. Предположим также, что под действием электронного потока постоянная распространения Г лишь незначительно отличается от величины Г0:

где ξ — некоторая малая величина, которая в общем случае может иметь комплексный характер.
Подставим предположенные значения Г и Г0 в уравнение:

Исходя из малости величины ξ, получаем:

Обозначим через С безразмерный параметр усиления, равный

Полагая
, можно записать решение для величины ξ в виде


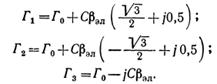
Следовательно, по замедляющей системе в присутствии электронного потока в принятом приближении могут распространяться три волны, имеющие одинаковую структуру поля, но различные постоянные распространения. Подставляя найденные корни в уравнение
и используя
, получаем постоянные распространения трех волн в виде

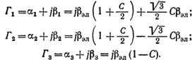
В общем случае постоянные распространения Г и Г0 следует считать комплексными:

Однако «холодная» замедляющая система возбуждается в режиме распространяющихся волн и, как было предположено в начале расчета, не имеет активных потерь. Поэтому α0 = 0 и вместо Г0 следует подставить чисто мнимую величину jβ0; при принятых допущениях нужно положить: β0= βэл.Тогда постоянные распространения трех волн в присутствии электронного потока оказываются равными
|
|
|

Нетрудно видеть, что фазовые постоянные первой и второй волн β1 и β2 превышают постоянные β0 и βэл. Но фазовые постоянные связаны с соответствующими фазовыми скоростями и со скоростью электронов v0 соотношениями

Следовательно, фазовые скорости первой и второй волн υф1 и υф2 несколько меньше фазовой скорости υф0 в «холодной» системе. Третья волна, наоборот, имеет несколько большую фазовую скорость.
Таким образом, первая волна двигается немного медленнее электронов и имеет положительное затухание (α1 > 0). Вторая волна также двигается медленнее электронов, но обладает отрицательным затуханием (а2 < 0)- Третья волна является незатухающей (α3 = 0) и двигается несколько быстрее электронов. Для работы усилительных ламп бегущей волны наибольший интерес представляет вторая волна, амплитуда которой растет вдоль линии по экспоненциальному закону.






