Чтобы получить условие усредненного синхронизма между электронами и волной, вместо радиуса анода rа в уравнение скорости для бегущей волны

подставим средний радиус пространства взаимодействия, равный

rК - радиус катода.
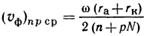
Таким образом, средняя фазовая скорость волны в пространстве взаимодействия составляет

Средняя скорость движения электронов
. Отсюда условие синхронизма может быть записано в виде

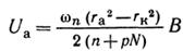
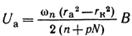
В рассматриваемой системе напряженность постоянного электрического поля можно выразить в виде
. Подставляя эту величину в предыдущее уравнение и учитывая, что генерируемая частота определяется в основном резонансной частотой данного вида колебаний, имеем:

Согласно этому уравнению анодное напряжение, при котором должно происходить самовозбуждение многорезонаторного магнетрона, для каждого вида колебаний при фиксированном номере гармоники р линейно связано с индукцией магнитного поля. Отношение Uа/В есть величина постоянная для данного магнетрона при заданных значениях n и р.
|
|
|
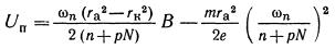
Графики самовозбуждения магнетрона

Постоянное анодное напряжение U а, при котором бесконечно малая амплитуда СВЧ колебаний в резонаторной системе обеспечивает попадание электронов на анод в случае В > Вкр, называется пороговым напряжением магнетрона Un. Если проанализировать более подробно условия самовозбуждения цилиндрического многорезонаторного магнетрона, то величина порогового напряжения оказывается связанной с магнитной индукцией В, радиусами анода и катода rа и rк, номером вида колебаний п и номером пространственной гармоники р уравнением Хартри







