
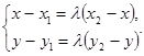
Из определения отношения
следует, что
. Так как у равных векторов соответствующие координаты равны, то: 
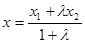
Поэтому:
,
.
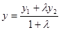
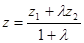
Если задача рассматривается в системе xoyz, получается еще одно равенство:
.
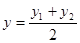
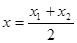
Эти равенства называются формулами деления отрезка в данном отношении. Если точка М делит отрезок М1М2 пополам, то
и тогда:
,
,
.






