Пример.
Найти точку пересечения медиан треугольника А (0;1) B (1;3) С (2;2).
Решение. Пусть М - середина стороны ВС. Тогда:

,
.
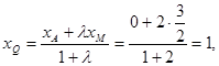
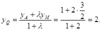
Точка пересечения медиан, т.е. точка Q делит медиану AM в отношении
. Поэтому:




Определение. Скалярным произведением
векторов
и
называется произведение длин этих векторов, умноженное на косинус
угла (
) между ними, т.е.
.
Скалярное произведение обладает следующими свойствами:
1)
, 2)
, 3)
.
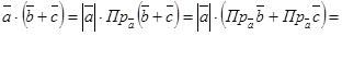
Справедливость первого свойства очевидна. Второе и третье свойства легко доказываются с помощью свойств проекции вектора. Например:


Если
,
,
то



,






