Задача. Найти координаты вектора
, если A(x1;y1), В(х2у2) – точки, координаты которых известны.

=
-
= (x 
+ у 
) - (x 
+ y 
) =
= (x
-x
)
+(y
-y
)
.
Таким образом, для получения координат вектора
надо из координат конца вычесть соответствующие координаты начала. Это правило справедливо и для векторов в системе координат xoyz.
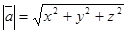
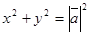
Задача. Найти длину вектора, если координаты х и у известны.

Решение. Так как вектор
можно отождествить с вектором – диагональю прямоугольника, стороны которого совпадают с векторами – сторонами
и
, то
, или
.
Следовательно,
.
Таким образом, длина вектора равна квадратному корню из суммы квадратов его координат. Этот вывод верен для вектора
т. е.
.
Задача. Найти координаты точки M(x;y), делящей отрезок M1(x1;y1)M2(x2;y2) в отношении
, где знак «+» выбирается, если М лежит на отрезке М1М2 и знак "- " выбирается, если М лежит на продолжении отрезка М1М2.






