Лекция №2
Многие физические свойства кристаллов - упругость, прочность, электропроводность - имеют векториальный характер, т.е. они зависят от того направления в кристалле, по которому данное свойство измеряется. Поэтому кристаллы относятся к анизотропным телам.
Анизотропия является следствием последовательного расположения в пространстве структурных элементов (ячеек) в данной кристаллической решетке.
Аморфные тела, в отличие от кристаллов, не имеют упорядоченного строения. Исследования показали, что если в аморфных телах расположение частиц не подчиняется геометрическим законам, то оно подчиняется статистическим. Этот закон наиболее вероятно описывает состояние аморфного тела.
Физические свойства аморфных тел не зависят от направления, т.к. в каждом данном направлении они статически уравновешиваются, что позволяет считать аморфные тела за изотропные.
Различие в строении кристаллов и аморфных тел отличает их друг от друга и по механическим свойствам. Между элементарными частицами твердого тела существуют как силы притяжения, так и силы отталкивания, что обуславливает равновесие всей системы частиц. Если бы сил отталкивания не существовало, то тогда частицы сближались бы до полного физического соприкосновения, образовав абсолютно твердое тело. Но в природе не существует ни абсолютно твердых, ни абсолютно непроницаемых тел, независимо от их размеров. Результирующая сила взаимодействия между двумя элементарными частицами показана на рис.8.
Рис.8 Результирующая сила взаимодействия между двумя элементарными частицами | Зависимость сил отталкивания между частицами должна быть выражена более резко, чем сил притяжения, таким образом, чтобы на очень близких расстояниях превалировали силы отталкивания, а на больших - силы притяжения. |
В точке Z0 сила взаимодействия между частицами равна нулю и это расстояние отвечает положению равновесия при абсолютном нуле. При увеличении расстояния Z0 силы притяжения возрастают и достигают своего максимума при Zm, после чего они начинают убывать.
Разность Z0- Zm дает максимальное увеличение расстояния между частицами, при котором еще возможно после удаления действующих сил возвращение в устойчивое положение равновесия.
Рm - предел прочности между частицами на разрыв;
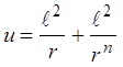
| На графике (рис.9) изображена кривая энергии взаимодействия между частицами. Равновесному состоянию соответствует минимальное значение энергии при расстоянии между частицами равном r0, когда равнодействующая сила взаимодействия равна 0. | Рис.9 Зависимость энергии взаимодействия от расстояния |
При изменении расстояния до r или r2 необходимо затратить работу, равную DW, приложив или растягивающую силу Р1, или сжимающую силу Р2.
Для полного разрушения связи между частицами необходимо затратить работу, равную глубине минимума потенциальной энергии.
Среди неорганических соединений, к которым относятся минеральные частицы горных пород, наиболее распространены ионные кристаллы.
В узлах таких кристаллов находятся поочередно положительные и отрицательные ионы, электрическое притяжение между которыми и является главным источником сил взаимодействия.
Эти силы взаимодействия убывают обратно пропорционально квадрату расстояния.
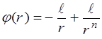
Потенциальная энергия такой решетки выражается формулой:
;
,
где
- заряд,
- расстояние между частицами,
- условная твердость по Моосу.
В этой формуле первый член
выражает энергию притяжения, а второй -
учитывает ту часть потенциальной энергии, которая обуславливается силами отталкивания.
Пример: Каменная соль (хлористый натрий - NaCl), в узлах решетки которой находятся положительно заряженные ионы Na+ и отрицательно заряженные ионы Ci --.
Исследования показали, что с увеличением расстояния между ионами, твердость вещества уменьшается. В случае одинакового межионного расстояния у сопоставляемых тел твердость все же различна, т. к. Различны заряды ионов.
Многочисленную группу составляют атомные кристаллы, в узлах решетки которых находятся нейтральные атомы.
Силы взаимодействия в таких кристаллах имеют квантовое происхождение и обязаны своим возникновением обмену электронов между атомами. Такой вид связи называется неполярным. Неполярный вид связи вызывает более тесное сближение между атомами, чем ионные связи.
Неполярная связь носит направленный характер, т. е. в определенном направлении вокруг атомов.
Примером такого кристалла может быть алмаз, обладающий исключительно высокой твердостью за счет очень тесного сближения атомов углерода.
Среди ионных кристаллов следует выделить слоистые решетки, которые в слоях (т. е. в одной плоскости) являются ионными, а между слоями - молекулярными. Такие кристаллы легко скалываются по плоскостям, параллельным слоям.
В других пластинчатых минералах (слюда, тальк) отдельные слои связаны более прочно при помощи металлических ионов.
Большое влияние на прочность связи в кристаллах оказывает кристаллизационная вода. Если в данное соединение входит такая вода, то прочность связи сильно уменьшается, т. к. Молекулы воды раздвигают решетку и тем самым ослабляют внутренние связи; прочность обычно тем меньше, чем больше число молекул воды входит в кристаллическую решетку.
Рис.8
Рис.9 Зависимость энергии взаимодействия от расстояния 





