В точках приложения сосредоточенных сил эпюра Q претерпевает скачок на величину внешней силы, а в эпюре М возникает соответствующий излом (разрыв производной).
Рассмотрим простейшие примеры:



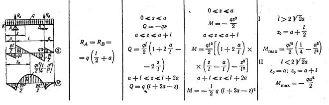
Двухопорная балка

Лекция 2. Нормальные напряжения в брусе при чистом изгибе.
M = const, а Q = 0.
Под действием момента М в любом сечении бруса изменение кривизны для всех участков будет одинаковым. Следовательно при чистом изгибе ось бруса примет форму дуги окружности.



Т.к. по длине бруса М= const, то независимо от положения сечения по длине бруса, точки сечений по условиям симметрии не могут получить преимущественных смещений ни вправо, ни влево. Следовательно сечения бруса при чистом изгибе остаются плоскими. Это положение является доказательством того, что все сечения однородного бруса при чистом изгибе не искривляются, а лишь поворачиваются.
Образование деформаций при чистом изгибе рассматривается как результат поворота плоских поперечных сечений друг относительно друга.
В результате поворота правого сечения относительно левого на угол dθ верхние слои удлинятся, а нижние укоротятся.

Следовательно существует слой, в котором удлинения отсутствуют. Этот слой называется нейтральным слоем. Изменение кривизны нейтрального слоя будет:
, отсюда 
Отрезок АВ= dz удлинится: А1В1=(
d
, А1В1-АВ=
-абсолютное удлинение. y -расстояние АВ от нейтрального слоя CD.

Определим относительное удлинение АВ:
По закону Гука 
Т.о. σ при чистом изгибе изменяется по линейному закону. Линия, где σ = 0 называется нейтральной линией сечения. Она перпендикулярна к плоскости кривизны изогнутого бруса.
Свяжем теперь σ с внутренними силовыми факторами. При чистом изгибе: 


Или S x = 0 – статический момент относительно нейтральной линии равен нулю. Значит нейтральная линия проходит через центр тяжести сечения.

Т.о. координата y отсчитывается от центральной оси перпендикулярной к плоскости кривизны, а кривизна
- кривизна нейтрального слоя или кривизна оси бруса. Ось y перпендикулярна нейтральной оси x, следовательно она лежит в плоскости изменения кривизны. Т.о. система осей x,y,z - подвижная система осей, положение которой меняется в пространстве при переходе от одного сечения к другому.
Определим изгибающий момент в сечении:
Пусть плоскость изгибающего момента совпадает с осью y, тогда согласно (2):

это значит, что изменение кривизны происходит в плоскости момента в том случае, если момент проходит через одну из главных осей. Такой изгиб называется прямым. В отличие от прямого изгиба общий случай изгиба, при котором плоскость изгибающего момента с главной осью не совпадает называется косым изгибом.
При прямом изгибе при М x = М получим:
=
М,
Или М =
, отсюда
(3)
Ix - момент инерции относительно главной центральной оси,

EIx – жесткость бруса при изгибе.
Из формул (2 и 3):


