Теорема.
Теорема.
Выводы.
Замечания.
Признак параллельности прямой и плоскости
Параллельность прямой и плоскости, признаки и свойства
Прямая и плоскость называются параллельными, если они не имеют общих точек (а || α)
Если прямая, не лежащая в данной плоскости, параллельна какой-нибудь прямой, лежащей в этой плоскости, то она параллельна самой плоскости.
- Если плоскость проходит через данную прямую, параллельную другой плоскости, и пересекает эту плоскость, то линия пересечения плоскостей параллельна данной прямой.
- Если одна из двух параллельных прямых параллельна данной плоскости, а другая прямая имеет с плоскостью общую точку, то эта прямая лежит в данной плоскости.
Случаи взаимного расположения прямой и плоскости:
- прямая лежит в плоскости;
- прямая и плоскость имеют только одну общую точку;
- прямая и плоскость не имеют ни одной общей точки.
Если плоскость проходит через данную прямую, параллельную другой плоскости, и пересекает эту плоскость, то линия пересечения плоскостей параллельна данной прямой.
|
|
|
Если одна из двух параллельных прямых параллельна данной плоскости, то другая прямая либо также параллельна данной плоскости, либо лежит в этой плоскости.
Двугранным углом называется фигура, образованная двумя полуплоскостями с общей ограничивающей их прямой (рис. 398). Полуплоскости называются гранями, а ограничивающая их прямая — ребром двугранного угла.
Плоскость, перпендикулярная ребру двугранного угла, пересекает его грани по двум полупрямым. Угол, образованный этими полупрямыми, называется линейным углом двугранного угла.
За меру двугранного угла принимается мера соответствующего ему линейного угла. Все линейные углы двугранного угла совмещаются параллельным переносом, а значит, равны. Поэтому мера двугранного угла не зависит от выбора линейного угла.

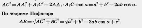
Задача (1). Из точек А и В, лежащих в гранях двугранного угла, опущены перпендикуляры АА1 и ВВ1 на ребро угла. Найдите длину отрезка АВ, если АА1=а, ВВ1=b, A1B1=c и двугранный угол равен
(рис. 399).
Решение. Проведем прямые А1СllВВ1 и ВСllА1В1. Четырехугольник A1B1ВС — параллелограмм, значит А1С = ВВ1 = b. Прямая A1B1 перпендикулярна плоскости треугольника АА1С1 так как она перпендикулярна двум прямым в этой плоскости АА1 и СА1.

Следовательно, параллельная ей прямая ВС тоже перпендикулярна этой плоскости. Значит, треугольник ABC — прямоугольный с прямым углом С. По теореме косинусов







