С учетом того, что конструкция А стоит 1 тыс. у. д. ед., конструкция Б –
а конструкция В –
будем рассуждать так:
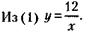
х = 2 отпадает, так как речь идет о ряде как отечественных, так и иностранных фирм;
х = 4 также не проходит, так как при этом каждая фирма способна тратить
тыс. у. д. ед. и не может на эти деньги купить целое число конструкций всех видов;
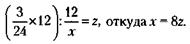
при х = 6 расходы каждой фирмы составили
На эти деньги можно купить по одной конструкции вида А, по одной конструкции вида Б и по одной – вида В:

Это и будет ответом на первый вопрос.
Общее количество фирм, участвующих в покупке, равно 6 (3 отечественные и 3 иностранные).
40. Обозначая момент проверки постов охраны через х1 можно математически записать условие задачи так:

Решая это уравнение, получим:

41. Вероятность получения счастливого билета (Р) может быть определена по следующей формуле из теории вероятностей:

Этот расчет можно проверить, собрав достаточное количество (порядка тысячи) любых билетов с шестизначными номерами и сосчитав, сколько счастливых приходится в среднем на сотню. Должно получиться 5–6 билетов.
|
|
|
42. 1) Обозначим через О, М и Д возраст отца, матери и дочери в момент заключения страхового договора. При этом условие задачи математически запишется так:

в момент заключения договора,

в момент заключения договора,

в момент выплаты страховой премии (через М лет).
Из (2) следует, что О = 12Д.
Подставляя значение О в (3), получим:

Подставляя значение О и М в (1), получим: 12Д + 10Д + Д = 46, откуда Д - 2 года, О = 12Д = 24 года, М = 10Д = 20 лет.
2) Страховая премия должна быть выплачена через М = 20 лет после заключения договора.
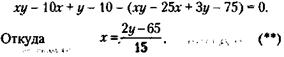
43. Обозначим через х первоначальное количество работников в каждом малом предприятии, а через у – первоначальное количество этих предприятий. Тогда количество предприятий после первой реорганизации будет у -10, а количество работников в каждом из них х + 1. После второй реорганизации получим соответственно у – 10 - 15 = у - 25 предприятий и х+ 1 + 2 = х + 3работника в каждом.
При данном условии задачи можно записать так:

Из (1) следует:

Совместно решая (1) и (2), получим:

Подставляя (*) в (**), получим:


Общая численность работников объединения равна:

44. Обозначим время от полудня до противостояния стрелок через х, а число делений, проходимых часовой стрелкой от цифры 12 до момента противостояния, – через у. Тогда условие задачи можно записать следующим образом:

где
– скорость минутной, а
– скорость часовой стрелки.

1) Следовательно, заседание должно начаться в 12 ч 32 мин 43,6 с.
2) Следующее противостояние должно произойти через 2х часов, т. е. через

45. Проанализируем ситуацию с помощью графика (см. рис.).
По оси х откладывается время возможного прихода партнера А, а по оси у – партнера Б. Тогда время, в течение которого они могут встретиться, будет соответствовать заштрихованному участку графика. Действительно, если партнер А придет на встречу в начале срока (точка 0), то его встреча с партнером Б состоится, лишь если Б придет на встречу в пределах от 0 до 20 мин от начала срока. Если он придет позже, встреча не состоится, так как А уже уйдет. Если же А придет на встречу на 40-й мин, то он встретится с Б, лишь если тот придет между 20-й и 60-й мин. И так для всех точек заштрихованной области.
|
|
|

Вероятность встречи может быть найдена как отношение шансов, благоприятствующих встрече (заштрихованная область), ко всем возможным шансам (площадь квадрата со стороной в 60 мин). При этом, как видно из рисунка, площадь, соответствующая всем возможным шансам, равна:

а площадь, соответствующая благоприятным шансам, равна разности полученной площади и двух треугольников:

Следовательно, искомая вероятность встречи равна:

Иными словами, встреча состоится 5–6 раз из 10.
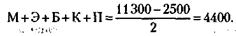
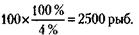
46. Обозначим новые оклады работников начальными буквами соответствующих специальностей. Тогда условие задачи можно будет записать так:

Группируя оклады, получим:

Поскольку Р + М = 2500, выражение (*) можно представить так:

откуда

И далее:

1) Учитывая, что эти оклады составляют 100 - 25 = 75 % от соответствующих окладов до сокращения, несложно рассчитать, чему были равны тогда упомянутые оклады (пометим их штрихами):

Расходы на зарплату составляли удвоенную сумму этих окладов:

2) Следовательно, экономия средств, полученная предприятием за счет сокращения, равна:
14400-11 300 = 3100 у. д. ед. в месяц.
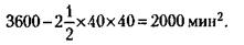
47. Обозначив через х количество персонала на предприятии до реорганизации, а через у – количество дней, на которые хватает при этом зарплаты, запишем условие задачи следующим образом:

Решая это уравнение относительно второго и третьего равенств, получим:
180 у = 15 х - 600,
откуда

Из (*) следует также, что

Подставляя в последнее выражение значение у, получим:

откуда х = 400 человек, у = 30 дней.
Следовательно:
1) В настоящее время на предприятии работает 400 человек.
2) Величина месячной (30-дневной) зарплаты составляет:

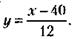
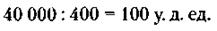
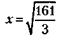
48. Вначале определим количество участков, на которые увеличится садоводство:

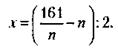
Обозначим через х сторону садоводства до его увеличения, выраженную в длинах сторон участков. Тогда площадь садоводства до увеличения составит х2, а после увеличения (x + n)2, где п = 1, 2, 3, 4, 5... (целые числа натурального ряда, соответствующие приросту длины садоводства, выраженной в длинах сторон участков). Теперь условие задачи можно записать так:

Откуда


Анализ последнего выражения и условий задачи показывает, что x2 и п должны быть целыми числами, а п, кроме того, должно быть нечетным (иначе 161 не разделится на него без остатка) и на него должно делится без остатка 161. Этим условиям из первых 10 цифр натурального ряда отвечают только 1 и 7. Но 7 не подходит, так как в этом случае х = 7 = п и из выражения (*) следует, что
– не целое число.
Итак, п = 1. Это означает, что

Следовательно:
1) Количество участков в садоводстве до его увеличения было

а после увеличения:

или, что то же самое, 6400 + 161 = 6561 участок.
2) Сторона садоводства при увеличении должна вырасти на длину одного участка (n = 1), т. е. на

3) Площадь садоводства до увеличения была равна:

а после увеличения:

49. Обозначим через х количество работников, а через у – их зарплату при работе предприятия в нормальном режиме. Тогда условие задачи можно записать так:

Из второго равенства уравнения (*) следует:

Из первого равенства уравнения (*) следует:

Подставляя в последнее выражение значение х, получим:


Итак:
1) Численность персонала при работе в нормальном режиме составляет 40 человек; зарплата при этом равна 9 тыс. у. д. ед.
|
|
|
2) Фонд заработной платы равен 40 х 9 = 360 тыс. у. д. ед.
3) Численность персонала при работе в период спада равна 40 - 10 = 30 человек, а зарплата 9 + 3 = 12 тыс. у. д. ед.; численность персонала при работе в период увеличения загрузки равна 40 + 50 = 90 человек, а зарплата 9-5 = 4 тыс. у. д. ед.
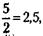
50. 1) Исходя из того, что 6 путевок в Каркодайл равноценны 9 путевкам в Фингалию, определим относительную ценность этих путевок.
Она составит
для Каркодайла и
для Фингалии.
2) Исходя из этих относительных стоимостей и зная, что поездка в Каркодайл и в Фингалию в сумме оценивается в 90 банок икры, рассчитаем стоимость каждой из путевок в отдельности:
путевка в Каркодайл стоит 
путевка в Фингалию

3) Информация о двух возможных вариантах приобретаемого количества путевок позволяет составить систему из двух уравнений с двумя неизвестными:

где К и Ф – количество путевок в Каркодайл и Фингалию соответственно.
Решение этой системы уравнений позволяет найти К = 7 и Ф = 9.
4) Подставляя эти цифры в уравнение, соответствующее второму варианту сделки, можно получить искомое количество банок икры, выделенных для этой сделки:

51. 1) В исходном положении сосуд № 1 содержит 1,1л тоника, а сосуд № 2 – 0,5 л джина.
2) Из сосуда № 1 в сосуд № 2 переливается 0,5 л тоника (чтобы удвоить там количество жидкости). Теперь в сосуде № 1 осталось 0,6 л тоника, а в сосуде № 2 оказался 1 л смеси, состоящей поровну из джина и тоника.
3) Из сосуда № 2 в сосуд № 1 переливается 0,6 л (столько, сколько оставалось в сосуде № 1) смеси, состоящей из 0,3 л джина и 0,3 л тоника. Теперь в сосуде № 1 0,3 л джина и 0,9 л тоника, а в сосуде № 2 осталось 0,2 л джина и 0,2 л тоника.
4) Из сосуда № 1 в сосуд № 2 переливается 0,4 л (чтобы удвоить там количество) смеси, содержащей 0,1 л джина и 0,3 л тоника (смесь в сосуде № 1 имеет соотношение джина и тоника 1: 3).
После всего этого количество жидкости в сосудах становится по 0,8 л.
В сосуде № 1 образовалась смесь из 0,6 л джина и 0,2 л тоника (3: 1 – крепкий коктейль).
В сосуде № 2 – смесь из 0,3 л джина и 0,5 л тоника (3: 5 – слабый коктейль).
52. Используя формулу сложных процентов для приведения взносов к моменту покупки (см. задачу 150), получим:
|
|
|

41,7 тыс. у. д. ед. – это и есть действительная стоимость дома на момент покупки.
Следовательно, покупатель, назвав сумму 40 тыс. у. д. ед., предложил весьма выгодную для себя сделку.
53. Обозначив количество голосов, поданных за различные виды пасты, их начальными буквами, можно представить результаты маркетингового исследования в таком виде:

Суммируя первые три выражения, получим:

Складывая (*) и (**), получим:
4А = 4500, откуда А = 1125 голосов.
Соответственно:

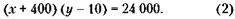
54. 1) Общая прибыль от операции купли-продажи квартир составляет 14% - 11 % = 3 %. Следовательно, цена покупки обеих квартир равна 500 тыс. у. д. ед. (3 % от 500 = 15, т. е. 515-500).
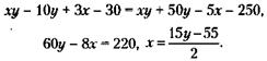
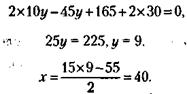
2) Обозначая цену покупки 1-й квартиры через х, а 2-й квартиры через у, можно записать условие задачи следующим образом:

Решим систему из двух уравнений с двумя неизвестными.

откуда

Цена продажи 1-й квартиры 280 х (1+0,14) = 280 х 1,14 = 319,2 тыс. у. д. ед.
Цена продажи 2-й квартиры 220 х (1-0,11) = 220 х 0,89 = 195,8 тыс. у. д. ед.
55. Обозначив через х количество оплаченных компьютеров (без премии), через у – стоимость каждого оплаченного компьютера, а через у – количество премиальных компьютеров, можно представить условие задачи следующим образом:

Решим полученную систему из трех уравнений с тремя неизвестными:

Подставляя значение у в (2), получим:

Подставляя значение х в (3), получим:


Итак, 1) без учета премии было приобретено 16 компьютеров по цене 750 у. д. ед.; 2) в виде премии было получено 2 компьютера.
56. Обозначив через х количество первоначально оплаченных дубленок, а через у – цену дубленки без учета стимулирования, можно записать условие задачи следующим образом:


Решая систему из двух уравнений с двумя неизвестными и подставляя значение у из (1) в (2), получим:

Решая квадратное уравнение (*) по стандартной формуле, получим:

х1 = 24 (х2 не подходит, так как отрицательно).
57. Обозначая месячный спрос и цену до ее снижения через х и у соответственно, записываем условие задачи так:


Решая систему из двух уравнений с двумя неизвестными, приходим к следующему квадратному уравнению с одним неизвестным:
х2 + 400 х - 960 000 = 0.
Применяя стандартную формулу для решения квадратных уравнений, получим:

х1 = 800 единиц; (х2 не подходит, так как отрицательно),

После сезонного снижения цены до 30 - 10 = 20 у. д. ед. месячный спрос повышается до 800 + 400 = 1200 единиц.
58. Обозначим через х первоначальное количество копеек. Тогда в конце игры будет соответственно
рубля и х копеек.
И условие задачи можно записать так:
100х + у = 2.
Откуда следует:
98х – 99у = 0, (*)
х и у должны быть обязательно целыми числами (это рубли и копейки).
Анализируя условие (*), можно сообразить, что эта целочисленность будет иметь место, лишь если у = 98.

59. Когда менеджер начал обход, у него оставалась половина рабочего времени. Эта половина состоит из трех частей: две – на обход и одна в кабинете. Следовательно, на обход менеджер затратил
от половины, т. е.
рабочего времени.
60. Обозначим участников переговоров А, Б и В. Представим ход рассуждений участника А: «Участник Б думает, что его лысина прикрыта, и смеется над В. Но если бы он видел, что у меня прическа в порядке, то был бы удивлен смеху В, так как в этом случае у В не было бы повода улыбаться. Однако Б не удивлен, значит, он думает, что В смеется надо мной. Следовательно, моя лысина не прикрыта».
61. Из слов хозяина черной шевелюры следует, что у Белова волосы могли быть только черными или рыжими, у Чернова – белыми или рыжими, у Рыжова – черными или белыми.
Это означает, что тронуть рукой свою черную шевелюру мог только банкир Белов или юрист Рыжов.
Поскольку на слова черноволосого среагировал банкир, то он не может быть тем, кто говорил. Следовательно, черноволосый – юрист Рыжов.
Значит, банкир Белов не черноволосый. Не может быть он и блондином. Следовательно, Белов – рыжий.
Белые волосы остаются для предпринимателя Чернова.
62. Бизнесмен Жук солгал. Дело в том, что утверждение «неверно, что все бизнесмены лгуны» равносильно тому, что «не все бизнесмены лгут». А раз так, то Жук мог и солгать.
63. Принимая общее количество учеников Пифагора за х, можно записать условие задачи так:

откуда х =28.
64. Принимая долю мужчин за х, можно записать:


65. Принимая число присутствующих на собрании за х, можно записать:

Откуда х = 130 человек. Всего в коллективе 130 + 0,2 х 130 = 156 человек.
66. Во-первых, для того чтобы не пропустить момент, когда собеседник начнет поглядывать на свои часы, – это первый сигнал к тому, что пора закругляться. А во-вторых, для того чтобы правильно отреагировать, когда партнер по переговорам снимет часы и станет трясти ими у себя над ухом, проверяя, не остановились ли они.
67. Обозначим количество участников деловой встречи через х. Тогда количество договоров, заключенных каждым из участников, равно х - 1 (исключается договор с самим собой). А всего на встрече будет заключено х(х - 1) договоров. Но эти договоры должны быть парными (на двух участников – один договор). Поэтому фактически договоров будет в два раза меньше:

Следовательно

откуда х = 15.
68. При гиперинфляции найденный кошелек кладут в карман, а деньги из него выбрасывают.
69. Необходимо заполнить доверху 9-литровое ведро и дважды с помощью 4-литрового ведра отлить из него ровно 8 литров воды. Оставшийся 1 литр воды вылить в пустое 4-литровое ведро. Снова наполнить 9-литровое ведро и отлить из него 3 литра воды в 4-литровое (там уже есть 1 литр), заполнив его доверху. В 9-литровом ведре при этом останется ровно 6 литров воды.
70. Необходимо вначале отловить 100 карпов, пометить их и выпустить обратно. Через некоторое время, когда рыбы успокоятся, снова отловить 100 карпов и сосчитать, сколько среди них меченых. К примеру, меченых рыб оказалось 4. Это означает, что в водоеме 4 % меченых рыб. Но, с другой стороны, мы знаем, что меченых рыб 100. Следовательно, 100 рыб составляют 4 % от общего количества их в пруду.
Значит, 100 % - это

71. 1) Вероятность того, что первый попавшийся вам по приезде в Москву человек – ваш единственный знакомый в этом городе, равна:

2) Вероятность отгадать в лотерее 6 номеров из 49 по формулам теории вероятностей равна:


где С649 – сочетание из 49 элементов по 6. Следовательно, вероятность отгадки равна

т. е. примерно в полтора раза меньше.
72. Возможно. На этот счет существует специальная теорема. Практическое решение данной задачи требует, однако, сложных расчетов.
73. Водителям поменяться машинами.
74. В момент выхода железнодорожного состава из Москвы в пути находится 8 встречных составов, в том числе один, входящий в это время в Москву, и один, выходящий из Владивостока. Все 8 составов будут встречными. Но этого мало. За те 7 дней, что москвичи будут в пути, из Владивостока успеет выйти еще 7 составов (в том числе один – в момент прихода московского поезда во Владивосток). Итого 8 + 7 = 15 составов, т. е. письма могут быть получены 15 раз.
75. До третьего этажа 2 пролета лестниц, до шестого – 5. Следовательно, т. е. в два с половиной раза.

76. Вероятность выигрыша рассчитывается по формулам теории вероятностей:

Необходимые формулы можно найти в любом математическом справочнике.

п – общее количество билетов,
k – количество билетов, содержащих выигрыш,
т – количество купленных билетов,
Clk – количество билетов, выигрыш по которым нас интересует.

Подставляя соответствующие значения, получим:







