1) Сколько дней предприниматель был здоров и сколько нездоров? 2) Сколько времени продолжалось действие договора?
201. Спрос на товар составляет несколько тысяч штук в месяц и ежемесячно растет на 6 %.
Сколько потребуется времени, чтобы спрос примерно удвоился, полагая, что существующая тенденция будет продолжаться?
202. Универмаг решил довести продажу некоторого товара до 1000 штук в день.
Сколько ему для этого примерно понадобится времени, если ежедневное увеличение продаж составляет 50 %, а сейчас он продает в день 2000 штук товара?
203. Торговая фирма стоит перед выбором размера закупаемых партий товара: 1000 единиц товара по цене 80 у. д. ед. за штуку или 2000 единиц по цене 60 у. д. ед. за штуку.
1) Сколько денег целесообразно выделить на изучение покупательского спроса, если продажная цена товара равна 100 у. д. ед. за штуку, а непроданный товар может быть реализован лишь по цене меньшей, чем закупочная? (Вероятность продажи каждой из партий примем равной 0,5.) 2) На каком размере закупочных партий товара следует остановиться, как более прибыльной?
|
|
|
204. Большой арбуз стоит на 1 у. д. ед. больше за килограмм, чем маленький. Некто купил один большой и один маленький арбуз общим весом 14 кг. При этом большой арбуз обошелся в 20 у. д. ед., а маленький – в 4 у. д. ед.
Сколько весил каждый арбуз?
205. Если к акционеру А от акционера Б перейдет количество акций на 1 млн руб., его акционерный капитал станет вдвое больше, чем капитал Б. С другой стороны, если акционер Б увеличит свой акционерный капитал за счет А на 1 млн руб., то стоимость акций А и Б уравняется.
Какими акционерными капиталами обладают А и Б?
206. В уставном капитале фирмы по учредительному договору доля участника А составляет половину, доля участника Б – одну треть, доля участника В – одну девятую часть. В текущем году было решено всю прибыль израсходовать на покупку для этих участников 17 автомобилей.
Как поделить автомобили между участниками?
207. Фирма А вдвое старше фирмы Б. Известно, что, когда фирма Б просуществовала 8 лет, фирма А отметила свое 31-летие.
Сколько лет фирмам?
208. Половина уставного фонда предприятия А составляет одну треть уставного фонда предприятия Б.
Чей уставной фонд больше и во сколько раз?
209. На собрании акционерного общества отсутствовала 1/5 часть акционеров. После того как пришел один из опоздавших, доля отсутствующих составила 1/6 часть от всех акционеров.
Сколько акционеров в обществе?
210. На собрании акционеров общества доля отсутствующих акционеров составляла 20 % от числа присутствующих.
Какой процент от общего числа составляли присутствующие акционеры?
211. При образовании акционерного общества первый из четырех его участников внес в уставной фонд половину суммы, внесенной остальными; второй – треть суммы, внесенной остальными; третий – четверть суммы, внесенной остальными участниками. Четвертый же внес 6500 тыс. руб.
|
|
|
Сколько внес каждый из участников в уставной фонд и чему этот фонд равен?
212. Председательствующий на общем собрании акционеров на вопрос, какая часть дня миновала, ответил: «Трижды две трети того, что прошло, еще остается».
В какое время был задан вопрос?
213. Наше предприятие отметит свой столетний юбилей тогда, когда пройдет еще половина срока его существования, плюс еще треть, плюс четверть этого срока.
Сколько лет сейчас нашему предприятию?
214. Акционерное общество выделило из прибыли на оплату дивидендов по акциям 100 млн руб. Эти деньги распределяются между 6-ю привилегированными акциями с фиксированным доходом в 5 % годовых на каждую акцию и 28-ю обыкновенными.
Какой дивиденд выплачивается по привилегированным и обыкновенным акциям?
215. По курсовой стоимости продана 1000 акций. Номинал акции 10 тыс. руб., дивиденд – 15 %,ссудный процент – 5 % годовых.
Рассчитать: 1) курс акций; 2) учредительскую прибыль.
216. Предприятие производит и продает в день 10 единиц продукции одного рода общей стоимостью 30 тыс. руб.
Как изменится стоимость единицы продукции и всей ее массы при 1) росте производительности труда в три раза; 2) увеличении интенсивности труда в два раза?
217. Общая выручка предприятия за год 250 млн руб., норма прибыли – 25 %, ссудный процент – 4 % годовых. Решено выпустить 100 привилегированных акций с годовым доходом 100 тыс. руб. на каждую.
Определить: 1) сумму эмиссии; 2) сколько можно выпустить обыкновенных акций при годовом доходе 500 тыс. руб. на каждую?
218. Номинал акции равен 100 тыс. руб. Дивиденд по ней – 20 тыс. руб. Ссудный процент – 10 % годовых.
Чему равен: 1) курс акций; 2) прибыль от продажи 1000 акций?
219. Двое партнеров по товариществу, Семенов и Федоров, договорились иметь общий счет в банке, с которого будут снимать в течение каждого месяца по определенной постоянной сумме. Рассчитано, что если счетом станет пользоваться только Семенов, то он исчерпает его за год, а если и Семенов и Федоров вместе – за 8 месяцев.
За сколько времени израсходовал бы деньги один Федоров?
220. Два каменщика за 2 часа выкладывают 2-метровую стену.
Сколько каменщиков за 5 часов выложат стену длиной 5 метров?
221. Вот несколько смелых проектов:
– предлагается добывать пресную воду, растапливая под солнечными лучами айсберги, прибуксированные к берегу жаркой страны из Антарктиды или Гренландии;
– предлагается использовать в качестве холодильника обычный ящик, поднятый на аэростате на высоту, где температура окружающего воздуха ниже нуля;
– предлагается сажать картошку на заглубленную в землю металлическую ленту с отверстиями. При уборке урожая достаточно будет намотать эту ленту на барабан; все клубни будут выбраны быстро и без потерь.
Реальны ли проекты? Какой из них, по вашему мнению, мог бы быть реализован уже в наши дни?
222. При объеме книги 20 печатных листов и тираже 100 тыс. экземпляров ее выпуск требует следующих расходов:

Необходимо определить:
1) Какую следует установить розничную цену книги (с учетом налога на добавленную стоимость, равного 20 %), чтобы при тираже 100 тыс. экземпляров получить чистую прибыль (прибыль минус налог на прибыль, равный 32 % от прибыли), составляющую 1 млн руб.?
2) Чему равен авторский гонорар?
3) Сколько можно выделить денег на бумагу, картон, пленку и другие материалы?
4) Какую сумму составят типографские и издательские расходы?
5) Сколько будет выплачено торговым организациям?
6) Чему равны расходы на маркетинг, включая рекламу?
7) Чему будет равна чистая прибыль, если цена книги установлена равной 300 руб.?
|
|
|
223. Рабочий каждый час отрезает от медного бруса длиной 20 метров по куску длиной 2 метра.
Сколько времени пройдет, прежде чем весь брус будет израсходован?
224. Три работника внесли рационализаторские предложения по экономии ресурсов: первое экономит 35 % ресурсов, второе – 50 %, третье - 15%.
Сколько ресурсов экономят все три предложения?
225. Три компаньона совместно приобрели оборудование на 450 тыс. руб. и собираются использовать его на равных. При этом первый компаньон заплатил 230 тыс. руб., второй – 220 тыс. руб., а третий не заплатил ничего и остался должен компаньонам. Свой долг – 150 тыс. руб. он им вернул.
Как первый и второй компаньоны должны разделить эти деньги?
226. Три предприятия строят сооружение на равных долевых началах. Для строительства потребовалось 110 каменных блоков. Первое предприятие в счет своей доли внесло 70 блоков, второе – 40, а третье решило свою долю блоков оплатить деньгами, выделив для этого 110 тыс. у. д. ед.
Как разделить эти деньги между первым и вторым предприятиями?
227. Как из емкости в 12 литров налить ровно 6 литров вина в сосуды емкостью 5 и 8 литров?
228. Фермер обычно распахивает свой участок за 10 дней. Но в этом году он обзавелся новой техникой, поднажал и стал ежедневно вспахивать на 2 гектара больше, чем обычно. Благодаря этому работа была выполнена на 2 дня раньше.
Определить: 1) сколько гектаров фермер вспахивал ежедневно? 2) какова величина его участка?
229. Предприятие за 10 дней выпускало партию автобусов. После реконструкции предприятия дневной выпуск автобусов увеличился на единицу. В связи с этим на 3 дня раньше предприятие стало производить на 4 автобуса больше.
Сколько автобусов в день выпускалось до реконструкции предприятия и после нее?
230. Предприятие ежедневно выпускает сверх нормы 3 изделия, и поэтому за 5 дней сверх семидневного задания появляется еще 11 изделий.
Сколько изделий в день фактически производит предприятие?
231. При сушке яблок половина потерянного ими веса оказалась в полтора раза больше веса сушеных яблок.
|
|
|
Сколько весят 4 тонны яблок после сушки?
232. (Задача И. Ньютона). Трава на всем лугу растет одинаково густо и быстро. Известно, что с учетом подрастания травы 70 коров поели бы ее за 24 дня, а 30 коров – за 60 дней.
Сколько коров поело бы всю траву за 96 дней?
233. В бочку с зеленой и желтой краской добавили столько желтой краски, сколько было зеленой (по объему). Затем добавили столько зеленой краски, сколько первоначально было желтой (по объему).
Какой процент по объему стал приходиться на зеленую и на желтую краски?
234. Лабораторный анализ установил, что влажность (процентное содержание воды) сахарного песка равна 15 %. Тонну сахарного песка подвергли сушке, и вес его уменьшился на 80 кг.
Какова теперь влажность высушенного товара?
235. Изделие до сушки весило 60 кг и содержало 10 % влаги. После просушивания процентное содержание влаги уменьшилось в 10 раз.
Чему равен вес изделия после сушки? (Попробуйте сначала решить эту задачу на глаз.)
236. До переработки сырье содержит 70 % жидкости.
Сколько тонн сырья нужно переработать, чтобы получить 1 тонну продукта? (Попытайтесь вначале решить эту задачу на глаз.)
237. Опреснение морской воды, содержание соли в которой составляет 6 % (по весу), производится путем добавления к ней пресной воды. Опресненная вода должна содержать 1 % соли (по весу).
Сколько тонн пресной воды нужно добавить к 100 тоннам морской для опреснения? (Попытайтесь вначале решить эту задачу на глаз.)
238. Сплав золота с серебром содержит 40 %золота.
Сколько килограммов золота нужно добавить к слитку сплава весом в 10 кг, чтобы в образовавшемся новом сплаве золота стало 80 %? (Попытайтесь вначале решить эту задачу на глаз.)
239. Мешок сахара подмок и увеличил свой вес на 30 %. Затем его сушили до тех пор, пока вес подмоченного товара не уменьшился на 30 %.
Вернулся ли вес товара к первоначальному?
240. Брак на предприятии составляет 5 %. После ряда принятых технико-экономических и организационных мер брак снизился до 1 %.
На сколько процентов снизился брак?
241. Количество единиц продукции, выпускаемых в единицу времени, в результате повышения производительности труда выросло на 50%.
На сколько процентов сократилось время, необходимое для изготовления единицы продукции?
242. В партии из девяти изделий два бракованных.
Какова вероятность того, что при случайной выборке из четырех изделий окажутся браком: 1) одно; 2) два; 3) не менее одного (хотя бы одно)?
243. Два экскаватора, имеющие разную производительность, способны вырыть котлован за 8 часов. Фактически сначала 4 часа работал первый экскаватор, а затем 8 часов – второй. Они выполнили лишь 60 % работы по рытью котлована.
За сколько часов каждый экскаватор может вырыть котлован самостоятельно?
244. Работая на общий наряд, две бригады выполняют строительное задание за 10 часов. Подсчитано, что производительность труда у бригады № 1 на 30 % выше, чем у бригады № 2.
За сколько времени данную работу бригады № 1 и № 2 смогли бы выполнить каждая самостоятельно?
245. На сколько процентов увеличится площадь квадратного садового участка, если его периметр вырастет на 20 %?
246. На сколько процентов увеличится площадь прямоугольного садового участка, если каждая из его сторон вырастет на 40 %?
247. Как изменится площадь прямоугольника садового участка, если его ширину увеличить на 30 %, а длину на столько же процентов уменьшить?
248. На строительство типового здания строительное предприятие № 1 тратит 3 года, предприятие № 2 – 2 года, предприятие № 3 – 4 года, а предприятие № 4 – 1 год.
За какое время построят дом четыре предприятия совместно?
249. Золотые коронки для зубов делают из золотых дисков: по одному диску на зуб. Из отходов, получающихся при этом от девяти дисков, можно сделать еще один диск.
Сколько с учетом этого можно сделать коронок из 81 диска?
250. (Задача Я. И. Перельмана). Эйфелева башня в Париже сделана целиком из железа и весит около 8 тыс. тонн. Высота башни 300 метров.
Какой высоты должна быть точная копия башни весом в 1 кг? (Попробуйте вначале решить эту задачу на глаз.)
251. Имеются две емкости для горючего из одинакового материала, со стенками равной толщины и одинаковой формы. Одна из емкостей в 27 раз вместительнее другой.
Во сколько раз большая емкость тяжелее?
252. Строительный блок весит 6,25 тонны. Сколько весит блок из того же материала, все размеры которого в 5 раз меньше?
253. В емкости находилось 100 литров чистого спирта. Часть спирта отлили в канистру, а емкость дополнили водой до прежнего объема. Затем из емкости вновь отлили в канистру столько же образовавшейся смеси, сколько отливали спирта в первый раз, и дополнили емкость водой до первоначального объема. В результате в емкости оказался 49-процентный раствор спирта.
Сколько литров жидкости было отлито из емкости в первый и во второй раз?
254. (Задача Л. Я. Толстого). Артели косцов надо было скосить два луга, один вдвое больше другого. Половину дня артель косила большой луг. После этого артель разделилась пополам: первая половина осталась на большом лугу и докосила его к вечеру до конца; вторая же половина косила малый луг, на котором к вечеру еще остался участок, скошенный одним косцом в течение следующего рабочего дня.
Сколько косцов было в артели?
255. Нужно сделать коктейль из двух крепких напитков, один из которых содержит 50 % спирта, а второй – 20 %. Необходимо смешать их так, чтобы получить 30-процентный раствор.
В какой пропорции должны быть напитки в коктейле? (Попробуйте вначале решить эту задачу на глаз.)
256. После того как из бака грузового автомобиля «КамАЗ» перелили в бак автобуса «Икарус» 40 литров дизельного топлива, у «КамАЗа» осталось топлива в 6 раз меньше, чем стало у «Икаруса». Кстати, если бы вместо этого «Икарус» отдал «КамАЗу» 10 литров топлива, то они имели бы его поровну.
Какое количество топлива было в баках «КамАЗа» и «Икаруса» первоначально?
1. Рассчитать прибыль можно, лишь зная затраты – в данном случае себестоимость квартиры как разность между выручкой (доходом) и затратами при каждой сделке. Скажем, если квартира обошлась в свое время Марку в 1 млн, то при первой сделке он заработал:
1,2- 1,0 = 0,2 млн у. д. ед.
При второй сделке его затраты составили также 1,0 млн (цена покупки), следовательно, здесь прибыль равна:
1,1 - 1,0 = 0,1 млн у. д. ед.
И общая прибыль составляет:
0,2 + 0,1 = 0,3 млн у. д. ед.
Однако если себестоимость квартиры перед первой сделкой иная, то изменится, естественно, и прибыль.
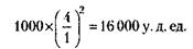
2. Бриллиант весом в 4 карата стоит:

Это соответствует стоимости натурального рубина в х карат:

Откуда

3. 1) Литр дорогого молока продавался за 1 у. д. ед., а литр дешевого – за
у. д. ед. Литр смеси стоил:

а фактически продавался за
у. д. ед.
2) Таким образом, торговец на каждом литре терял:

3) Поскольку всего он потерял 50 у. д. ед., значит, было продано 50:
= 600 литров смеси, в которой каждого вида молока было 600: 2 = 300 литров.
4) За 300 литров дорогого молока можно было выручить
300 х 1 = 300 у.д.ед.,
а за 300 литров дешевого -
300 х
= 150 у.д.ед.
Фактически за 300 литров смеси было получено
300 х
= 200 у.д.ед.
5) Следовательно, на дорогом молоке потеряно
300 – 200 = 100 у.д.ед.
а на дешевом приобретено
200- 150 = 50 у. д. ед.
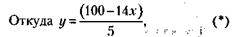
4. Обозначим через х количество двухрублевых монет, а через у – пятирублевых. При этом количество однорублевых монет составит 12 х, и условие задачи можно математически выразить так:
1 х 12 x + 2 x + y = 100руб.

где х и у – целые числа (количество монет не может быть дробным числом).
Из последнего варианта следует: для того чтобы у был целым числом, разность 100 – 14х должна быть кратна 5; для этого, в свою очередь, произведение 14х должно быть кратным 5 и меньшим, чем 100.
Этим условиям удовлетворяет только 14 x = 70, 
Подставим значение x в (*), получим

Итак, количество однорублевых монет равно 12 x = 60, двухрублевых – х = 5, пятирублевых – у = 6.
5. Вопреки распространенной глазомерной оценке первый вариант, уже начиная со второго года, существенно выгоднее второго. Общая сумма выигрыша составляет 1350 у. д. ед. (около 13 %). Все дело в том, что, хотя прибавка к зарплате по второму варианту происходит в два раза чаще, чем по первому, сумма прибавки при этом значительно меньше: 50 у. д. ед. относится не к полугодовой, а к годовой зарплате. Причем, чем дальше, тем расчет по первому варианту выгоднее. Это наглядно видно из следующей таблицы:
| Первый вариант | Второй вариант |
| 1-й год 1200 у.д.ед. | 1-е полугодие 600 у. д. ед. 2-е полугодие 625 « |
| 2-й год 1400 у.д.ед. | 3-е полугодие 650 у. д. ед. 4-е полугодие 675 « |
| 3-й год 1600 у. д. ед. | 5-е полугодие 700 у. д. ед. 6-е полугодие 725 « |
| 4-й год 1 800 у. д. ед. | 7-е полугодие 750 у. д. ед. 8-е полугодие 775 « |
| 5-й год 2000 у. д. ед. | 9-е полугодие 800 у. д. ед. 10-е полугодие 825 « |
| 6-й год 2200 у. д. ед. | 11-е полугодие 850 у. д. ед. 12-е полугодие 875 « |
| Всего: 10200 у. д. ед. | Всего: 8850 у. д. ед. |
6. Обозначим сестер начальными буквами их имен: А, Б, В. Племянника Анны обозначим А1, сына Белы – Б1, мужа Веры – В1. Из условия задачи следует, что в деле участвуют шесть человек: А, Б, В, А1, Б1, В1, и прибыль в 44 млн у. д. ед. нужно разделить между ними поровну, так чтобы у каждого она выражалась целым числом миллионов у. д. ед. Поскольку это невозможно (44 не делится на 6 без остатка), напрашивается единственное допустимое решение: владельцев капитала должно быть столько, чтобы 44 млн делились между ними без остатка. Условие задачи предоставляет такую возможность. Для этого следует лишь предположить, что А1 не только племянник А, но одновременно и сын Б, и муж В. Иными словами, А1, Б1, В1 – одно и то же лицо, и прибыль следует делить между четырьмя акционерами:
= 11 млн у. д. ед., что отвечает условию задачи.
7. Обозначая через х и у доходы компаний А и Б пять лет назад, можно записать условие задачи следующим образом:

Решая систему из двух уравнений с двумя неизвестными, получим из (1):
х = 6у
Подставляя значение x в (2), будем иметь:
6 у + 500 - 2 y - 1000 = 0.
Откуда у = 125, х = 6у = 750.
Итак: 1) доход компании А пять лет назад был 750 тыс. у. д. ед.; доход компании Б – 125 тыс. у. д. ед.;
2) доход компании А в настоящее время 750 + 5 х 100 = 1250 тыс. у. д. ед.; доход компании Б – 125 + 5 х 100 = 625 тыс.у.д.ед.
8. Если принять долю компаньона А за единицу, то доля Б составит
, а доля В –
.
Переходя к целым числам (для этого нужно умножить дробные доли на их общий знаменатель, равный 12), получим долю А равной 15, долю Б-10 и долю В- 18.
1) Исходя из долей, определим суммы, причитающиеся каждому компаньону:
компаньону А причитается

компаньону Б – 20 х 10 = 200 тыс. у. д. ед., компаньону В – 20 х 18 = 360 тыс. у, д. ед.
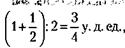
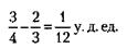
2) Из условия задачи и полученных долей ясно, что старший компаньон (В) владеет предприятием 6 лет (что в три раза меньше 18). Значит, в соответствии с долями компаньон А владеет предприятием
= 5 лет, а компаньон Б –
= 3 года и 4 месяца.
9. Обозначим через х сумму кредита, тогда по условиям задачи суммы выплат и остатки будут следующими:
| Выплаты | Остатки | |
| 1-й месяц кредита | ![]() | ![]() |
| 2-й месяц | ![]() | ![]() |
| 3-й месяц | ![]() | ![]() |
| 4-й месяц и т. д. | ![]() | ![]() |
Помятуя, что выплаты заканчиваются в месяце, следующем за тем, в котором остаток на единицу больше, чем номер месяца, прошедшего с момента получения кредита определим, чему может быть равна сумма кредита, исходящая из этого условия.
Для остатка 1-го месяца

Для остатка 2-го месяца

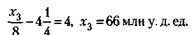
Для остатка 3-го месяца

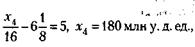
Для остатка 4-го месяца

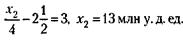
x1, х2, х4 (и т. д.) не подходят, потому что по условию задачи сумма кредита должна находиться в пределах 50 - 100 млн у. д. ед.
Следовательно:
1) Условию задачи отвечает сумма кредита, равная х3 = 66 млн у. д. ед.
2) Кредит должен быть погашен к концу 4-го месяца.
3) Плата за кредит равна 3 % х 4 месяца, т. е. 12 % от 66 млн у. д. ед., что соответствует 7,92 млн у. д. ед.
10. 1) Обещание было дано в понедельник. 2) Деньги будут отданы в ближайшую пятницу.
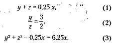
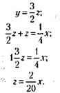
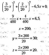
11. Обозначим через х капитал игрока, у – сумму ставки на победу, z – сумму ставки на поражение. Тогда условие задачи можно записать так:

Решая совместно (1) и (2), получим:

Далее, из (1) и (2):

Подставляя полученные значения у и z в (3), будем иметь:

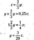
Итак:
1) капитал игрока был равен 200 тыс. у. д. ед.;
2) сумма ставки на победу равна 30 тыс. у. д. ед.;
3) сумма ставки на поражение равна 20 тыс. у. д. ед.

12. Обозначив расстояние от Санкт-Петербурга до бензоколонки через а, а от бензоколонки до Верхнениженска через б, сообразим в соответствии с условием задачи, что расстояние от поселка Закат до бензоколонки –
а, а от бензоколонки до поселка Рассвет
б.
Следовательно, от поселка Закат до поселка Рассвет
т. е. две трети пути от Санкт-Петербурга до Верхнениженска, что составляет
х 150 = 100 км.
Искомая плата за проезд, таким образом, равна: 100: 10= 10 у. д. ед.
13. Это возможно.
Разместив участок III так, как показано на рисунке, нетрудно убедиться, что:
III = I – а – в + а + а + б = I + а – в + б.
С другой стороны,
II = а - в + б.
Следовательно, III = I + II.

Кстати, мы только что доказали теорему Пифагора. Стороны квадратов I и II – это катеты, а стороны квадрата III – гипотенуза АБВ: сумма квадратов катетов равна квадрату гипотенузы. Просто и наглядно.
14. 1) Обозначая площадь, занимаемую оборудованием из контейнера № 1, через x, условие задачи можно математически записать так:














