77. 0,80 х 0,80 х 0,60 - 0,38, т. е. 38 %.
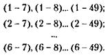
78. Отгадывание 6 цифр из 49 допускает только одно правильное решение – ни в одной из шести вычеркнутых цифр нельзя ошибиться. При отгадывании пяти номеров разрешается допустить ошибку в одном (любом) из шести «правильных» номеров. При этом «правильный» номер заменяется одним из «неправильных», которых насчитывается 49 - 6 = 43. Число таких замен равно количеству пар чисел в диапазоне от 1 до 49. Так, цифра 1 может быть заменена на 7, 8, 9 и т. д., вплоть до 49. То же самое с цифрой 2 и т. д. до 6. Вот как это выглядит:

Число таких пар замен равно 6 х 43 = 258. Следовательно, вероятность отгадать 5 цифр равна:

1) Аналогичным путем рассчитывается вероятность отгадать 4 цифры:

больше, чем 5 номеров.
2) 3 цифры: чем 5 номеров.

79. В соответствии с правилами теории статистических решений необходимо свести условие задачи в следующую таблицу:

Наилучшим решением признается такое, при котором сумма произведений (время на число голосов) будет минимальной. В данном случае это решение «прямо».
|
|
|
80. В соответствии с теорией статистических решений общий результат Энди равен 0,5 х 50 + 0,5 х (-10) = 20 долларам. Поскольку этот результат положителен, решение Энди должно быть: «Вперед, за должником».
81. Задача решается методами теории игр с использованием принципа «рассчитывай на худшее». Условие задачи сводится в следующую таблицу:

Вначале для каждого из решений находится худший результат, который записывается справа от таблицы. Затем из худших результатов выбирается лучший. В данном случае это 1000 у. д. ед. Решение, соответствующее этому результату, – «вернуться домой» является наилучшим.
82. Задача решается методами теории игр с использованием принципа «рассчитывай на худшее». Условие задачи сводится в следующую таблицу:

При составлении таблицы мы рассуждали так. Если день рождения у Марины не сегодня и вы не принесете подарка, то положение будет нейтральным. Если у нее не день рождения и вы примчитесь с букетом, то максимум, чем вы рискуете, это подвергнуться проверке на трезвость. Если у нее действительно день рождения и вы вовремя вспомнили об этом, то заслужите искреннюю благодарность. Если же в этом случае вы не принесете ничего – вы человек пропащий.
Выражая результаты в очках, вы вынуждены пользоваться произвольными числами. Это, однако, не должно вас смущать: важно, чтобы они не противоречили жизненному опыту. Так, отсутствие подарка в день рождения не менее чем в 10 раз хуже противоположной ситуации (в этом нетрудно убедиться экспериментально).
Из таблицы по правилам, приведенным в решении задачи 81, находится лучший из худших результатов и соответствующее ему решение – «с цветами».
|
|
|
83. Обозначая среднюю скорость автомобиля через х, а расстояние между городами – l, можем записать, чему будет равно время, затраченное на поездку туда и обратно:

откуда х = 48 км/ч.
84. Задача решается методами теории статистических решений. Условие задачи сводится в следующую таблицу:

Цифры, оценивающие ожидаемый результат, получены из следующих соображений:
– при полете самолетом в случае тумана агент не потеряет день работы, который принесет 1500 у. д. ед., и получит у иногороднего клиента заказ по телефону, что даст еще 500 у. д. ед., итого 2000 у. д. ед.;
– если при полете самолетом будет ясная погода, агент успеет получить 1500 у. д. ед. дома и 3000 – от иногороднего клиента, итого 4500 у. д. ед.;
– в случае поездки поездом независимо от погоды агент получит у иногороднего клиента заказ на 3000 у. д. ед.
Расчеты, приведенные справа от таблицы, показывают, что наибольший среднеожидаемый результат соответствует решению «лететь самолетом».
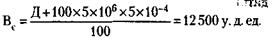
85. Обозначим годовой доход Д, годовой страховой взнос Вс. Тогда по условию задачи можно написать:

Откуда

86. Обозначая прибыль ПР, выплаты страховых премий в год Всп, а затраты на организацию страховой деятельности Зсд, по условию задачи можно написать:


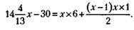
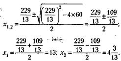
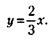
87. Обозначая искомое дневное задание через х и применяя формулу суммы членов арифметической прогрессии, можно записать условие задачи следующим образом:

Отсюда следует, после преобразований, квадратное уравнение:

Отсюда

Поскольку дневное задание – количество деталей – должно быть целым числом, искомое решение х 1 = 13 деталей.
88. По формуле теории вероятностей

89. По формуле теории вероятностей число размещений с повторениями (букв) из п элементов

Отсюда

90. По формуле теории вероятностей решение равно числу перестановок, деленному на число размещений с повторениями перестановок из 4! элементов:

91. 1) Сокращение производительности труда в день при этом равно:

а в рабочую неделю 0,033 х 6 = 0,198.
Следовательно, производительность труда должна вырасти на 19,8 %.
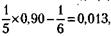
2) Сокращение производительности труда в день при этом равно:

а в рабочую неделю 0,013 х 6 = 0,078.
Следовательно, производительность труда должна вырасти на 7,8 %.
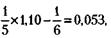
3) Сокращение производительности труда в день при этом равно:

а в рабочую неделю 0,053 х 6 = 0,318.
Следовательно, производительность труда должна вырасти на 31,8 %.
92. План января был выполнен на 100 + 6 = 106%, план февраля - на 106 + (6 % от 106) = 106 + 6,36=112,36%, план марта – на 112,36 + (6 % от 112,36) = 112,36 + 6,74 = 119,1%.
За все три месяца план был выполнен на 106 + 112,36 + 119,1 = 337,46 %, что соответствует среднемесячному 337,46:3 = 112,49 %.
Следовательно, среднемесячный план был перевыполнен на 112,49 - 100 = 12,49 %.
93. Первая бригада отработала 5 х 10 = 50 человеко-дней, вторая бригада – 7 х 4 = 28, объединенная бригада – 12 х 5 = 60. Всего общая работа составила 50 + 28 + 60 = 138 человеко-дней. А заработок на одного рабочего той и другой бригады равен 1518: 138 = 11 уд. ед. в день.
Следовательно, каждый рабочий в первой бригаде получил:
11 х (10 + 5) = 165 у. д. ед.,
а каждый рабочий во второй бригаде
11 х (4 + 5) = 99 у.д.ед.
94. Предприятие № 1 за месяц выполняет

заказа, предприятие

предприятие № 3 - 14 + 19 = 33 %.
А все три предприятия за один месяц выполняют 14 + 19 + 33 = 66 % заказа.
Следовательно, весь заказ (100%) все три предприятия выполнят за 
95. Обозначая количество изделий, планируемых к выпуску за год, через х, можно записать условие задачи следующим образом:

Отсюда, после преобразований, х= 28 000 изделий.
96. Обозначая искомый срок одновременной работы всех цехов над заказом через х, можно представить условие задачи следующим образом:

Отсюда х = 12 дней.
Итак, 1) выпуск цеха № 1 должен составлять 100 х 12 = 1200 единиц, выпуск цеха № 2 – 40 х 12 = 480, выпуск цеха № 3 - 50 х 12 = 600; 2) срок совместной работы над заказом должен быть равен 12 дням.
|
|
|
97. В I квартале выполнено 25 %
годового плана, во II квартале – 25 х 1,05 = 26,25 %, в III квартале - 26,25 х 1,15 = 30,19 %, в IV квартале - 30,19 х 1,25 = 37,73 %.
Всего за год выполнено 119,17 % годового плана.
1) Перевыполнение плана составляет 119,17 – 100 = 19,17 %.
2) Это соответствует
единицам продукции.
98. Соотношение 3: 7: 15 означает, что линейных руководителей должно быть
или 12%, функциональных руководителей –
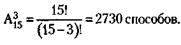
, или 28 %, и мастеров –
, или 60 %. Фактически же линейных руководителей оказалось 12 % + (25 % от 12 %) = 15 %, функциональных руководителей - 28 % + (25 % от 28 %) = 35 %, а мастеров - 60 % - (25 % от 60 %) = 45 %. Общий процент нанятого персонала составляет, таким образом, 15 + 35 + 45 = 95 %, что соответствует 95 принятым работникам.
Отсюда количество принятых линейных руководителей равно 15, функциональных руководителей – 35 и мастеров – 45.
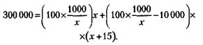
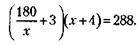
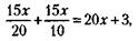
99. Обозначая через х плановое время выпуска 40 комбайнов, можно записать условие задачи следующим образом:

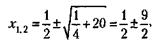
После преобразования получим х2 – х - 20 = 0. Решая квадратное уравнение по стандартной формуле, получим:

х1 = 5 дней (х2 не подходит, так как отрицательно).
Следовательно, фактически 36 комбайнов были выпущены за 5 - 2 = 3 дня. При этом ежедневно выпускалось 
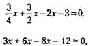
100. Обозначив через х количество участков, нарезанных в первой части земли, можно записать условие задачи следующим образом:

После преобразований получим х2 + 25х - 150 = 0.
Решая квадратное уравнение по стандартной формуле, получим:

х1 = 5 участков (х2 не подходит, так как отрицательно).
Следовательно, 1) количество участков, нарезанных в первой части земли, равно 5, а во второй – 5 + 15 = 20; 2) площадь участка в первой части земли равна 2 га, а во второй – 1 га.
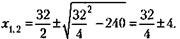
101. Обозначая первоначальное количество линий через х, можно представить условие задачи в следующем виде:

После преобразований получим х2 - 32х + 240 - 0.
Решая квадратное уравнение по стандартной формуле, получим:

Задача имеет два решения: х1 = 20, х2 = 12.
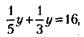
102. Обозначая через х старый, а через у новый расход сырья на один комплект мебели, можно записать условия задачи следующим образом:

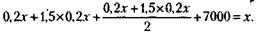
Решая систему из двух уравнений с двумя неизвестными, из (**) получим
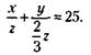
|
|
|

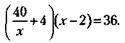
Подставляя значение у в (*), после преобразований получим:

Откуда х1 = 0 (не подходит, так как отрицательно), х2 = 6.
Следовательно, раньше расходовалось на один комплект мебели 6 м2 древесины, а теперь
.
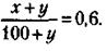
103. Обозначая через х количество калийного удобрения в 100 кг смеси, а через у количество калийного удобрения, которое нужно добавить к ней, можно записать условие задачи следующим образом:


Решая систему уравнений, получим у = 50 кг.
104. Обозначая через х среднюю скорость первого автомобиля, а через у среднюю скорость
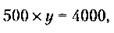
второго автомобиля, можно записать условие задачи следующим образом:


Решая систему из двух уравнений с двумя неизвестными, получим:

Решая квадратное уравнение по стандартной формуле, получим:

х1 = 240 (х2 не подходит, так как отрицательно). Итак, средняя скорость первого автомобиля равна 240 км/ч, а второго 240 - 60 = 180 км/ч.
105. Вопрос: «Соответствует ли ваша правдивость честности компании?» Правдивый представитель при честной сделке на этот вопрос ответит «да», а при нечестной – «нет»; лживый же будет отвечать противоположно истине: если честность сделки и правдивость представителя не совпадают, он вместо «нет» ответит «да», и наоборот.
Возможные ситуации и соответствующие ответы сведены в следующую таблицу:
| Возможные ситуации | Ответы | |
| Сделка | Представитель | |
| Честная Нечестная | Правдивый Правдивый | Да Нет |
| Честная Нечестная | Лживый Лживый | Да Нет |
Из таблицы видно, что каким бы ни был представитель компании, положительный ответ всегда говорит о честности сделки, а отрицательный – о ее нечестности.
106. Обозначим через х уменьшение годового дохода предприятия в результате повышения цены на товар с у на z у. д. ед. и соответствующего падения объема продаж. Тогда условие задачи будет математически выглядеть так:


Учитывая, что до повышения цены имело место равенство

найдем у = 8 у. д. ед.
Тогда из (2) следует, что

откуда

Из (1) следует, что

Следовательно, увеличение цены на товар и соответствующее уменьшение объема продаж (спроса) не привело к изменению годового дохода предприятия.
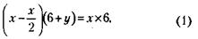
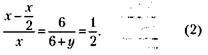
107. Обозначая через х объем продаж до его падения, а через у – соответствующую цену товара, запишем условие задачи следующим образом:

или, что то же самое,

1) Из (2) следует 6 х 2 = (6 + у) 2, откуда у = 6.
2) Из (1) следует, что х может быть любым, так как на него можно сократить обе части уравнения:

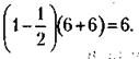
108. Обозначим величину уценки через х раз, тогда условие задачи будет выглядеть так:

Откуда

Следовательно, в результате первой уценки цена домика будет установлена:

а в результате второй:

109. Обозначая через х стоимость грузовой автомашины, а через у стоимость станка, купленного компаньоном А, нетрудно установить, что стоимость легковой автомашины равна у, а стоимость станка, приобретенного компаньоном Б, составляет х – 2.
Из условия задачи также следует, что х + у = 24 и суммарная стоимость автомашины тоже равна 24 тыс. у. д. ед.
Следовательно, если бы легковая автомашина была в три раза дороже грузовой, то они должны были бы стоить соответственно 18 и 6 тыс. у. д. ед. и равенство затрат компаньонов можно было бы записать так:

Откуда

Итак:
1) Стоимость покупок: станок, купленный компаньоном А, – 17 тыс. у. д. ед., купленный компаньоном Б, – 5 тыс. у. д. ед.; стоимость грузовой автомашины – 7 тыс. у. д. ед., легковой – 17 тыс. у. д. ед.
2) Всего было потрачено: компаньоном А 17 + 7 = 24 тыс. у. д. ед., компаньоном Б 5 + 17 = 22 тыс. у. д. ед.
110. Обозначим через х торговую наценку (в долях от 1), через у – стоимость товара без наценки и через z – сумму комиссионных агенту по продаже. Тогда условие задачи можно записать так:

1) Величину торговой наценки найдем из (1):


2) Из (2) следует, что стоимость оставшегося товара без торговой наценки (товар не продан) равна:

а стоимость проданного товара без учета торговой наценки –

Отсюда прибыль равна:

3) Из условий задачи:

Откуда z = 18 тыс. у. д. ед., а в процентах

111. Обозначим через х стоимость всех кроватей, через у – всех туалетных столиков, а через z – стоимость одной кровати. Тогда условия покупки первой партии товара можно записать так:

Если бы в первой партии было решено приобрести только туалетные столики, то выражение (*) приобрело бы следующий вид:

Умножение левой части равенства на
учитывает долю столиков, дополняющую покупаемое в первой партии количество
до общего
, а умножение на
– увеличение количества столиков, пропорциональное уменьшению цены каждого.
Следовательно,

откуда у = 30.
Подставляя это значение в (*), получим х = 30.
Обозначим через т стоимость одной кровати. Тогда один столик будет стоить
z.
При этом исходя из условия задачи будет иметь место соотношение

Подставляя значения х и у и решая относительно z, получим:

Следовательно:
1) Общая стоимость закупленных кроватей и столиков в первой партии равна соответственно – из (*):

а во второй партии:

2) Стоимость кровати равна 3 тыс. у. д. ед., а стоимость туалетного столика

3) Количество кроватей и столиков, закупленных в первой и второй партиях, соответственно равно:
в первой партии – кроватей
= 2 единицы, столиков
= 5 единиц; во второй партии – кроватей
= 8 единиц, столиков
=10 единиц.
Всего 10 кроватей и 15 столиков.
112. Обозначим через х общий объем выпивки в литрах или равный ему вес закуски в килограммах. Тогда суммарная стоимость выпивки будет 20х у. д. ед., а закуски – 10х у. д. ед. и общие затраты составят:

Если бы эти затраты были равными для выпивки и закуски, то и на одно, и на другое пришлось бы по
у. д. ед. Исходя из этого, условие задачи можно записать так:

откуда

х= 12 л выпивки или 12 кг закуски.
Следовательно:
1) Было закуплено 12 л выпивки и 12 кг закуски.
2) Стоимость выпивки равна 12 х 20 = 240 у. д. ед., стоимость закуски – 12 х 10 = 120 у.д.ед.
3) Всего потрачено 240 + 120 = 360 у. д. ед.
113. Обозначим через х фактическую цену продажи партии товара. При этом цена его покупки будет
. Если бы товар был куплен на 30 % дешевле, цена покупки составила
. Продажа этого товара по цене на 60 % дороже цены покупки была бы равна в этом случае

Итак, условие задачи можно записать следующим образом:

откуда

Следовательно:
1) Партия товара была продана за 200 тыс. у. д. ед., а единица товара стоила

2) Цена покупки партии товара равна

114. Обозначим через х сумму, выделенную фирмой для закупки компьютеров, через у – равные количества компьютеров обоих видов (при первом варианте закупки); через z – количество компьютеров вида «МА» и w – вида «МБ» (при втором варианте закупки).
При этом условие задачи можно записать так: первый вариант закупки:

второй вариант закупки:

Из уравнения (1) следует, что общее количество закупленных компьютеров по первому варианту равно:

Из уравнения (2) следует, что общее количество закупленных компьютеров по второму варианту равно:
