Опыты Фарадея. Явление электромагнитной индукции

После десяти лет упорной работы Фарадею удалось показать, что не только электрический ток создает в окружающем пространстве магнитное поле, но и магнитное поле способно порождать в замкнутом проводящем контуре электрический ток, получивший название индукционного тока.

В опытах Фарадей магнитный поток, пронизывающий первый контур (катушку 1), изменялся различными способами (рис. 10.1):

1) замыкалась и размыкалась цепь второго контура;

2) с помощью реостата изменялась сила тока второго контура;

3) второй контур приближался или удалялся относительно первого контура;

4) постоянный магнит приближался или удалялся относительно первого контура;

5) движение совершал первый контур относительно магнита и контура 2, по которому протекал постоянный ток, и т. д.

Рис. 10.1

В результате в контуре возникала ЭДС индукции εi и индукционный ток Ii, который фиксировался амперметром. Причем индукционный ток изменял свое направление при смене направления движения магнита, при изменении направления тока в контуре 2, при замене замыкания цепи второго контура ее размыканием.

В итоге Фарадей показал, что сила индукционного тока и ЭДС индукции зависят от скорости изменения магнитного потока, пронизывающего проводящий контур, и не зависит от способа изменения магнитного потока Ф.

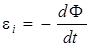
На основании опытов Фарадей сформулировал закон электромагнитной индукции, который гласит: при всяком изменении магнитного потока, пронизывающего проводящий контур, в нем возникает ЭДС индукции εi, равная скорости изменения магнитного потока, взятой с обратным знаком:

. (10.1)

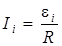
Наличие ЭДС индукции εi в проводящем контуре сопротивлением R приводит к возникновению в нем индукционного тока, который можно рассчитать по закону Ома для полной цепи:

. (10.2)

Направление же индукционного тока можно найти по правилу Ленца, которое гласит: индукционный ток в контуре возникает такого направления, чтобы создаваемое им магнитное поле препятствовало любым изменениям магнитного потока, вызвавшего этот индукционный ток.

Рассмотрим пример определения направления индукционного тока по правилу Ленца (рис. 10.2). Пусть проводящий контур находится во внешнем магнитном поле , которое возрастает со временем (dB/dt> 0). Тогда магнитный поток Ф, пронизывающий контур, увеличивается (∆ Ф > 0), то есть возрастает число линий , пронизывающих поверхность контура. Согласно правилу Ленца, индукционный ток препятствует нарастанию магнитного потока, поэтому он создает свое магнитное поле , линии которого направлены против линий внешнего магнитного поля. Зная

Рис. 10.2
направление линий , определяют по правилу правого буравчика направление индукционного тока.

Максвелл показал, что при всяком изменении магнитного поля в пространстве возникает вихревое электрическое поле (существует два вида электрических полей – электростатическое и вихревое). Изменяющееся магнитное поле и порождает сторонние силы способные привести в движение свободные носители электрических зарядов в проводнике. Сторонние силы совершают работу по разделению разноименных зарядов:

(10.3)

. (10.4)

Для установления взаимосвязи между электрическим и магнитным полями проводник не нужен; он является прибором, который обнаруживает наличие в окружающем пространстве вихревое электрическое поле. Выберем в качестве контура Г воображаемую замкнутую линию. Тогда, учитывая (10.1), можно записать:

, (10.5)

где - суммарная напряженность вихревого и электростатического полей.

Уравнение (10.5) представляет собой первое уравнение Максвелла в интегральной форме. Его физический смысл состоит в следующем: источником вихревого электрического поля является переменное магнитное поле (в правой части находится источник того, что записано в левой части уравнения).





Подборка статей по вашей теме: