В настоящее время в планировании и экономическом анализе ремонта энергооборудования применяются следующие показатели:
а) режимные - длительность простоя в ремонте; коэффициент эксплуатационной готовности, определяемый как отношение времени нахождения агрегата в работе и резерве к общей длительности рассматриваемого периода (ремонтного цикла, года);
б) стоимостные - ремонтная составляющая себестоимости энергии; затраты на ремонт единицы установленной мощности (в тенге на 1 МВт); себестоимость товарной продукции ремонтного предприятия (в копейках на 1 тенге.); производительность труда в виде выработки (по сметной стоимости) на одного работающего. Режимные показатели определяются структурой ремонтного цикла (рис. 10.1). Его длительность tр.ц, под которой понимают время между началом данного капитального ремонта и первого последующего капитального ремонта, включает следующие составляющие: а) время эксплуатационной готовности tэ.г, которое складывается из времени нахождения оборудования в работе tр и в резерве tрез; б) время простоев в ремонте tрем, в составе которого следует различать простои в плановом капитальном ремонте
t, плановом (и неплановом) текущем ремонте
в) время аварийного простоя
.

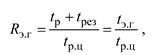
Коэффициент эксплуатационной готовности агрегата определяется
по выражению
(10.1)
где tр - временя нахождения оборудования в работе; tрез - время нахождения оборудования в резерве; tр.ц - длительность ремонтного цикла; tэ.г - время эксплуатационной готовности. Аналогично могут быть определены коэффициенты нахождения агрегата в простоях различного вида. Сумма коэффициентов нахождения в работе Rр, резерве Rрез, ремонте Rрем и авариях Rав равна единице. Показатель ремонтной составляющей себестоимости продукции (энергии) определяется как отношение расходов на ремонт (капитальный, текущий) продукции за определенный календарный период (например, год) к количеству отпущенной энергетической продукции:
![]() |
(10.2)
где ∑ Ирем- расходы на ремонт (капитальный, текущий), тенге;
Qотп - количество отпущенного тепла, Гкал, кВт·ч.
Основной недостаток этого показателя состоит в том, что его уровень существенно зависит от факторов, не имеющих отношения к ремонту. Так, при неизменных затратах на ремонт, но снижении числа часов использования установленной мощности (выработки) ремонтная составляющая себестоимости продукции повысится, и наоборот. В этом показателе не отражаются режимные характеристики ремонта (готовность).
Показатель затрат на ремонт единицы установленной мощности определяется как отношение затрат на ремонт производственного объекта за определенный календарный период (обычно год) к установленной (или номинальной) мощности N:
![]() |
(10.3)
где Nу - установленная (или номинальная) мощность, МВт. Основной недостаток этого показателя состоит в том, что в нем не получают отражения режимные (технические) показатели ремонта - длительность простоя в ремонте, эксплуатационная готовность. Снижение удельных затрат на ремонт может быть достигнуто в ущерб обеспечиваемой ремонтом готовности энергетического оборудования к несению нагрузки. Недостатки рассматриваемого показателя особенно наглядно выявляются при отнесении его к отдельным агрегатам с длительностью ремонтного цикла, превышающей год. Только для больших совокупностей агрегатов (в масштабе крупных энергообъединений или для энергетики в целом) показатель затрат на ремонт единицы установленной мощности отражает технические и экономические закономерности функционирования энергетики. Показатель себестоимости реализованной продукции применяется на ремонтных предприятиях и определяется как отношение затрат предприятия к стоимости товарной продукции:
(10.4)
Где ∑ Ир.п - затраты ремонтных предприятий;
Op - стоимость реализованной продукции.
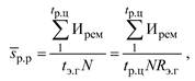
Этот показатель широко используется в промышленности и призван соизмерять затраты предприятия с полученным производственным результатом - готовой к отпуску продукции в денежном выражении. Экономические показатели, учитывающие специфику ремонта. С учетом особенностей ремонта как особого вида производственной деятельности в качестве обобщающего экономического показателя может быть рекомендовано соотношение между затратами на ремонт и обеспечиваемым уровнем готовности отремонтированного оборудования к производительному использованию - несению нагрузки. Уровень готовности может измеряться в часах нахождения агрегата в работе и эксплуатационном резерве, тогда получаются удельные затраты на час эксплуатационной готовности:
![]() |
(10.5)
- затраты на все виды ремонта производственного объекта за рассматриваемый расчетный период t (год, ремонтный цикл), тенге.; tэ.г - время эксплуатационной готовности объекта, т.е. сумма времени нахождения его в работе tр.ц и эксплуатационном резерве tрез за период tр.ц; Rэ.г - коэффициент готовности за период tр.ц;
∑ tпр - суммарный простой агрегата за период tр.ц.
При оценке производственного результата работы ремонтного персонала по обеспечиваемому ресурсу работы отремонтированного оборудования, т.е. в единицах потенциально возможной выработки продукции отремонтированным агрегатом при его использовании с номинальной мощностью в течение всего периода эксплуатационной готовности, получаются удельные затраты на единицу ресурса работы:
(10.6)
где N - номинальная мощность отремонтированного агрегата (для котельной в целом - установленная мощность).
Для отдельных агрегатов (например, котлов) ресурс работы подсчитывается по следующей формуле, т пара:
![]() |
(10.7)
где Dч - номинальная паропроизводительность котла, т/ч. Для совокупностей однородных агрегатов котельной (с nк котлами) показатели ресурса работы, т пара, получаются суммированием:
(10.8)
В зависимости от состава затрат удельные затраты характеризуют различные виды себестоимости или цену ремонтной продукции. Эти показатели могут определяться как по отчетным данным, так и по нормативам, принимаемым при разработке плана.



