Содержание
Введение............................................................................................................................................ 3
Учебно-тематический план курса «Бухгалтерский учет и аудит»..... 4
Тема 1. Общая характеристика бухгалтерского учета............................... 6
Тема 2. Предмет и метод бухгалтерского учета............................................... 14
Тема 3. Бухгалтерский баланс....................................................................................... 24
Тема 4. Счета и двойная запись..................................................................................... 28
Тема 5. Классификация счетов бухгалтерского учета............................. 38
Тема 6. Стоимостное измерение и основы учета хозяйственных процессов................................................................................................................................................................ 59
Тема 7. Первичное наблюдение в бухгалтерском учете............................ 68
Тема 8. Учетные регистры.................................................................................................. 80
Тема 9. Формы бухгалтерского учета...................................................................... 86
Тема 10. Бухгалтерская отчетность.......................................................................... 95
Тема 11. Основы организации бухгалтерского учета................................ 100
Тема 12. Сущность аудита............................................................................................... 113
Тема 13. Подготовка и планирование аудита.................................................... 124
Тема 14. Проведение аудиторской проверки...................................................... 135
Тема 15. Аудиторское заключение: общие принципы составления 145
приложение 1............................................................................................................................. 154
Приложение 2............................................................................................................................. 156
Литература.................................................................................................................................. 164
Издатель: Витебский филиал Учреждения образования Федерации профсоюзов Беларуси «Международный институт трудовых и социальных отношений»
Лицензия ЛВ № 437 от 14.10.2004
210015, г.Витебск, ул. Правды, 8а
Подписано в печать ________2006 г. Формат 60х84 1/16 Бумага офсетная
Гарнитура Times. Усл. печ.л. _____
Уч.изд.л._____
Тираж _____ экз. Заказ № ______
Если х и у - действительные переменные,
- мнимая единица, то переменная
называется комплексной переменной. Действительную и мнимую части комплексной переменной Z обозначают
.
Если каждому значению Z из множества Z поставить в соответствие одно или несколько значений другой комплексной переменной
то комплексная переменная W называется функцией Z в области Z, и пишут 
Функция
называется однозначной, если каждому значению
, ставится в соответствие только одно значение W, и многозначной, если несколько значений W.
Если
- действительная часть функции W,
- мнимая часть функции W, то функция
записывается в виде суммы действительной и мнимой части.
(1.1)
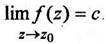
Однозначная функция
при
имеет определенный предел с (z0 и с – комплексные числа), если для всякого
найдется такое число
, что из неравенства
следует неравенство
. При этом пишут 
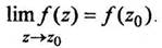
Функция
называется непрерывной в точке
, если она определена в некоторой окрестности
и в самой этой точке и
Функция, непрерывная в каждой точке некоторой области D, называется непрерывной в этой области.
Для непрерывности
в точке
необходимо и достаточно, чтобы функции
были непрерывными в точке
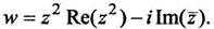
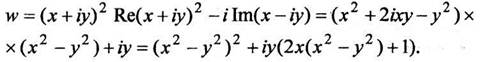
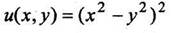
Пример 1. Исследовать на непрерывность функцию

РЕШЕНИЕ. Запишем функцию в виде (1).

Отсюда следует, что функции
и
непрерывны на плоскости
значит данная функция W также непрерывна на всей комплексной плоскости Z.
Область D - это множество точек, обладающих свойством открытости (вместе с точкой области D принадлежит и достаточно малый круг с центром в этой точке) и свойством связности (две любые точки D можно соединить ломаной, полностью лежащей в D ).
Замкнутой областью D называют область D с присоединенной к ней границей Г.
Область D называют ограниченной, если она принадлежит некоторому кругу

Порядком связности ограниченной области D называется число связных частей, на которые разбивается её граница. Граница может состоять из замкнутых линий, разрезов и точек.
Границы области могут задаваться уравнениями кривых, которые рассмотрим на примере.
Пример 2. Определить виды кривых:
a) 
РЕШЕНИЕ
- уравнение окружности с центром в точке
и радиусом R.

РЕШЕНИЕ Это уравнение равносильно уравнению.
|
— уравнение луча, выходящего из точки
и образующего с положительным направлением оси X угол 
|
РЕШЕНИЕ
В данном случае действительная и мнимая части комплексного переменного заданы параметрически. Исключим параметр t из уравнений
,
|
вычитая из первого уравнения второе:
|
Полученное уравнение определяет прямую линию.
,






