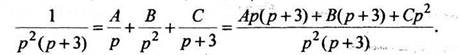
а) Представим изображение в виде суммы простейших дробей.

Из равенства числителей исходной и полученной дроби найдем неизвестные коэффициенты А, В, С, задавая переменной р ряд целых действительных значений:
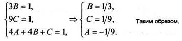
Получим систему:



Для перехода к оригиналу использована таблица преобразований, пункты 1, 2, 5 таблицы 7.
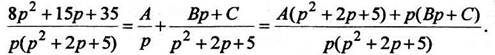
б) Представим изображение в виде суммы простейших дробей:


Приравнивая коэффициенты при одинаковых степенях р в числителе исходной и полученной дроби, составим систему уравнений относительно неизвестных А, В, С'.


Для перехода к оригиналу использованы 1-й и 18-й пункты таблицы 7.
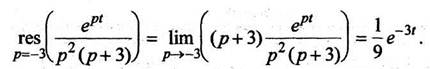
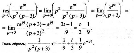
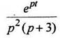
2. Оригинал можно найти с помощью теоремы разложения, которая утверждает, что для изображения
оригиналом служит функция
(14)
где сумма вычетов берется по всем особым точкам
функции 
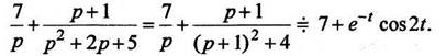
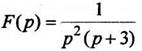
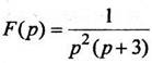
Пример 11. Для изображения
найти оригинал с помощью теоремы разложения.
РЕШЕНИЕ
Функция
имеет две изолированные особые точки: простой
полюс
и полюс
второго порядка. Находим вычет функции
в простом полюсе по формуле (1.43):
|
|
|

Вычет функции
в полюсе 2-го порядка находим по формуле (1.42):

4. Решение дифференциальных уравнений и систем операционным методом.
Решение дифференциальных уравнений - основное приложение операционного метода, основанного на преобразовании Лапласа.
Операционный метод включает следующие этапы:
1) преобразование дифференциального уравнения с заданными начальными
условиями по Лапласу; при этом образуется комплексное алгебраическое уравнение относительно изображения неизвестной функции;
2) решение комплексного алгебраического уравнения;
3) отыскание оригинала, искомого частного решения дифференциального уравнения, удовлетворяющего заданным начальным условиям.
Операционный метод решения системы линейных дифференциальных уравнений включает следующие этапы: 1) преобразование системы дифференциальных уравнений по Лапласу; при этом образуется система линейных алгебраических уравнений относительно изображений
искомых функций;
2) решение системы алгебраических уравнений, например, методом Крамера; 3) отыскание оригиналов методами обратного преобразования Лапласа.






