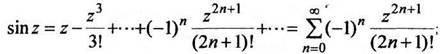
1. Функции комплексной переменной
определяются как суммы следующих рядов, сходящихся во всей плоскости комплексного переменного:
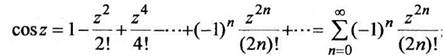
(1.4)
(1.5)
(1.6)
(1.7)
(1.8)
Из определения функций (10.4)-(10.8) следуют формулы, связывающие их:
(1.9)
(1.10)
(1.11)
(1.12)
(1.13)
(1.14)
(1.15)
(1.16)
Элементарные функции (1.4) – (1.8) являются однозначными и непрерывными на всей комплексной области Z.
2. Показательная функция
совпадает с обычной функцией
для нее справедлива теорема сложения 
Функция
периодическая с чисто мнимым основным периодом


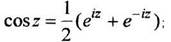
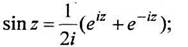
Тригонометрические функции
для действительных
совпадает с обычным синусом и косинусом, периодичны с действительным периодом
- нечетная,
- четная функция; подчиняются обычным тригонометрическим соотношениям:
и т.п.
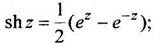
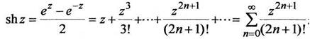
Функция
называется гиперболическим синусом; функция
называется гиперболическим конусом. Гиперболические функции
выражаются через тригонометрические функции формулами (1.15,1.16).
С помощью функций (1.4) - (1.8) вводятся другие элементарные функции. 3 Логарифмическая функция определяется как функция, обратная показательной:
|
|
|
если: 
Для нее справедливо свойство логарифмов:
|
В частности, полагая
, получаем
(1.17)
В формуле (1.17) символ
может обозначать любое значение аргумента, поэтому каждое комплексное число имеет бесчисленное множество логарифмов.
Выражение
называется главным значением логарифмической функции и обозначается, как
Многозначная логарифмическая функция обозначается 
(1.18)
4. Общая показательная функция:
(1.19)
Эта функция представляет собой совокупность отдельных, не связанных между собой однозначных функции, отличающихся множителями
где k- целое число. Главное значение этой многозначной функции равно 
где
- произвольное комплексное число.
Полагая,
, получаем 
(1.20)
где
- произвольное комплексное число.
Полагая
, получаем 
(1.21)
где k – целое число. При
функция
всегда имеет бесконечно много значений.
Если
, то получаем многозначную функцию - корень n-й степени 
При
имеем частный случай однозначной степенной функции 
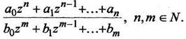
К основным элементарным функциям комплексной переменной относится также дробно-рациональная функция и её частные случаи.
Дробно-рациональная функция:
(1.22)
Частные случаи этой функции:
а)линейная функция
- комплексные числа
б)степенная функция 
