Пусть функция
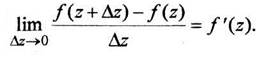
определена в некоторой окрестности точки Z. Функция дифференцируема в точке Z, если существует предел.

Этот предел называется производной функции
в точке Z. Функция дифференцируемая в каждой точке области D и имеющая в этой области непрерывную производную
называется аналитической в области D.
Функция
аналитическая в точке,
если
является аналитической в некоторой окрестности точки Z0.
Для того чтобы функция
была аналитической в области D, необходимо и достаточно одновременное существование в этой области непрерывных частных производных функций
удовлетворяющим условиям Коши-Римана:
(1.2)
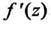
При выполнении условий (2) производная
может быть вычислена по одной из формул
(1.3)
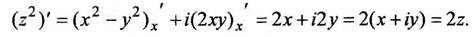
Для аналитических функций правила дифференцирования и таблица производных элементарных функций комплексной переменной такие же, как для функций действительной переменной, что иллюстрирует следующий пример. Пример 3, Проверить выполнение условий Коши-Римана для функции
является дифференцируемой и аналитической на всей комплексной плоскости Z:
|
|
|

Таким образом, 






