Функция Хевисайда с запаздыванием применяется для записи кусочно-аналитического оригинала иопределения его изображения.
Пример 9. Функция - оригинал задана в виде

Выписать функцию одним выражением и найти ее изображение.
РЕШЕНИЕ
График функции изображен на рисунке 2.

Чтобы можно было применить формулу (13), второе слагаемое в последнем выражении преобразуем:

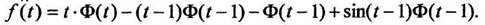
Тогда

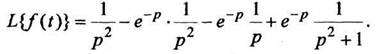
Применим к последнему выражению формулу (13):

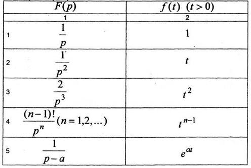
На основе рассмотренных теорем и примеров к ним можно составить таблицу преобразования Лапласа. В таблице приведены наиболее часто встречающиеся преобразования. Здесь
- различные постоянные.
Таблица 1 — Преобразования Лапласа




Продолжение таблицы 1







