ОПЕРАЦИОННОЕ ИСЧИСЛЕНИЕ
Содержание:
1. Функция оригинал и изображение по Лапласу
2. Теоремы преобразования Лапласа
3. Методы определения оригинала по известному изображению
4. Решение дифференциальных уравнений и систем операционным методом
5. Примеры решения задач
6. Вопросы и задачи для самостоятельной работы
Функцией- оригиналом - называют функцию
действительного аргумента
удовлетворяющую условиям:
1) для всех отрицательных значений аргумента функция тождественно равна нулю, т.е.

2) функция
при
возрастает не быстрее показательной
функции, т.е. существ.уют такие постоянные
что

3) на любом конечном отрезке положительной полуоси
функция
и ее производные достаточно высокого порядка непрерывны или имеют конечное число разрывов 1-го рода.
Простейшей функцией - оригиналом является единичная функция Хевисайда
(1)
Если функция
не удовлетворяет условию
то произведение
уже ему удовлетворяет, т.е. будет оригиналом.
Для простоты записи множитель
опускается, например, пишут
вместо 

вместо
и т.д.
|
|
|
Изображением функции
по Лапласу (преобразованием по Лапласу) называют функцию комплексной переменной
определяемую соотношением
(2)
Интеграл (1.2) называют интегралом Лапласа.
Функция
определяется в полуплоскости
и является в этой области аналитической функцией.
То, что функция комплексной переменной
является изображением по Лапласу функции действительного аргумента
обозначается
или
Изображение элементарных функций получается непосредственно с помощью интеграла (2).
Пример 1 Найти изображение по Лапласу функции 
РЕШЕНИЕ

Таким образом, получаем

Преобразование, основанное на интеграле Лапласа (2), обладает линейными свойсгыами.
1. Преобразование суммы функций равно сумме преобразований этих функций

2 Постоянный множитель можно выносить за знак преобразования:

Из этих двух свойств следует, что линейной комбинации оригиналов соответствует линейная комбинация их преобразований:
(3)
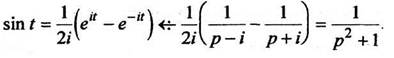
Пример 2. Найти изображение функции 
РЕШЕНИЕ
Используем формулу (2) для функции
Тогда
