ПРИМЕР ВЫПОЛНЕНИЯ ЗАДАНИЯ 1
Примеры решения задач
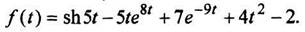
Найти изображение заданной функции:

РЕШЕНИЕ
Так как оригинал - алгебраическая сумма функций, то для изображения используем линейные свойства изображения (формула (3)) и таблицу преобразований Лапласа.

Оригинал по заданному изображению можно определить так, как это сделано в примере 10 или в примере 11.
5.3. ПРИМЕР ВЫПОЛНЕНИЯ ЗАДАНИЯ 3
Методом операционного исчисления найти частное решение дифференциального уравнения, удовлетворяющее заданным начальным условиям:

РЕШЕНИЕ
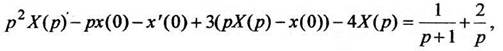
Введем обозначения
Преобразуем обе части
дифференциального уравнения по Лапласу. С учетом линейных свойств преобразования, формул (5), (6) и таблицы 1 преобразований Лапласа, получим:


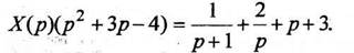
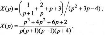
Решим уравнение относительно 

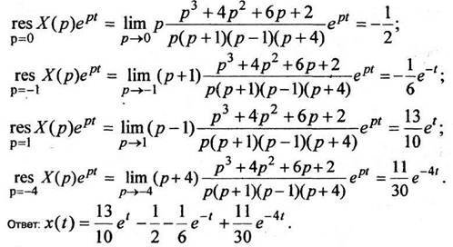
Для нахождения оригинала используем теорему разложения (11-14); особые точки функции
- простые полюсы 

5.4 ПРИМЕР ВЫПОЛНЕНИЯ ЗАДАНИЯ 4
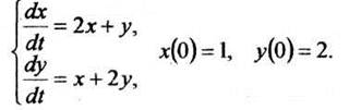
Решить систему дифференциальных уравнений:

РЕШЕНИЕ
|
|
|
Введём обозначения:
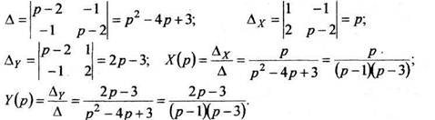
Преобразуем систему уравнений по Лапласу:

Решаем полученную систему алгебраических уравнений методом Крамера.

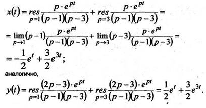
Теперь по изображениям
определяем оригиналы 







