Автор: преподаватель, Л.В. Медведева, Профессор, доктор педагогических наук, Санкт-Петербургский университет Государственной пожарной службы МЧС России. Тип материала: Лекция
Магнитное поле постоянных токов различной формы изучалось французскими учеными Ж. Био (1774—1862) и Ф. Саваром (1791 —1841). Результаты этих опытов были обобщены выдающимся французским математиком и физиком П. Лапласом.
Закон Био — Савара — Лапласа для проводника с током I, элемент которого dlсоздает в некоторой точке А (рис. 164) индукцию поля dB, записывается в виде

где d l — вектор, по модулю равный длине dl элемента проводника и совпадающий по направлению с током, r — радиус-вектор,

проведенный из элемента dl проводника в точку А поля, r — модуль радиуса-вектора г. Направление d B перпендикулярно d l и r, т. е. перпендикулярно плоскости, в которой они лежат, и совпадает с касательной к линии магнитной индукции. Это направление может быть найдено по правилу нахождения линий магнитной индукции (правилу правого винта): направление вращения головки винта дает направление d B, если поступательное движение винта соответствует направлению тока в элементе.
Модуль вектора dB определяется выражением:

где а — угол между векторами dl и г.
Для магнитного поля, как и для электрического, справедлив принцип суперпозиции: магнитная индукция результирующего поля, создаваемого несколькими токами или движущимися зарядами, равна векторной сумме магнитных индукций складываемых полей, создаваемых каждым током или движущимся зарядом в отдельности:

Расчет характеристик магнитного поля (В и Н) по приведенным формулам в общем случае довольно сложен. Однако если распределение тока имеет определенную симметрию, то применение закона Био — Савара — Лапласа совместно с принципом суперпозиции позволяет довольно просто рассчитать конкретные поля. Рассмотрим два примера.
1. Магнитное поле прямого тока — тока, текущего по тонкому прямому про-

воду бесконечной длины (рис. 165). В произвольной точке А, удаленной от оси проводника на расстояние R, векторы d B от всех элементов тока имеют одинаковое направление, перпендикулярное плоскости чертежа («к нам»). Поэтому сложение векторов d B можно заменить сложением их модулей. В качестве постоянной интегрирования выберем угол а (угол между векторами d l и r), выразив через него все остальные величины. Из рис. 165 следует, что

(радиус дуги CD вследствие малости dlравен r, и угол FDC по этой же причине можно считать прямым). Подставив эти выражения в (110.2), получим, что магнитная индукция, создаваемая одним элементом проводника, равна

Так как угол а для всех элементов прямого тока изменяется в пределах от 0 до я, то, согласно (110.3) и (110.4),

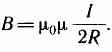
Следовательно, магнитная индукция поля прямого тока

2. Магнитное поле в центре кругового проводника с током (рис. 166). Как следует из рисунка, все элементы кругового проводника с током создают в центре магнитное поле одинакового направления — вдоль нормали от витка.

Поэтому сложение векторов d B можно заменить сложением их модулей. Так как все элементы проводника перпендикулярны радиусу-вектору (sina=1) и расстояние всех элементов проводника до центра кругового тока одинаково и равно R, то, согласно (110.2),

Тогда

Следовательно, магнитная индукция поля в центре кругового проводника с током







