Определение 1.
Раздел оптики, в котором законы распространения света рассматриваются на основе представления о световых лучах, называется геометрической оптикой.
Определение 2.
Линзы в геометрической оптике – это прозрачные тела, ограниченные двумя поверхностями, преломляющими световые лучи, и способные формировать оптические изображения предметов.
По внешней форме линзы делятся на (графическая иллюстрация слева!):
1) двояковыпуклые; 2) плосковыпуклые;
3) двояковогнутые; 4) плосковогнутые;
5) выпукло-вогнутые; 6) вогнуто-выпуклые.
Материалом для изготовления линз служат
стекло, кварц, кристаллы, пластмассы и т. п.
Определение 3.
Линза называется тонкой, если ее толщина значительно меньше по сравнению с радиусами поверхностей, ограничивающих линзу.
Определение 4.
Прямая, проходящая через центры кривизны поверхностей линзы, называется главной оптической осью (см. иллюстрацию форм!).
Определение 5.
Оптическим центром линзы называется точка, лежащая на главной оптической оси и обладающая тем свойством, что лучи проходят сквозь нее не преломляясь (см. иллюстрацию форм!).
При выводе математических зависимостей, характеризующих действенность линзы, используется принцип Ферма или принцип «наименьшего времени».
Принцип Ферма, формулировка.
Действительный путь распространения света (траектория светового луча) есть путь, для прохождения которого свету требуется минимальное время по сравнению с любым другим мыслимым путем между теми же точками.
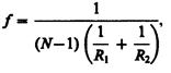
С использованием определений оптической оси, оптического центра и принципа Ферма можно получить выражение для фокусного расстояния тонкой линзы.
Определение 6.
Фокусным расстоянием линзы, называется характерное расстояние, определяемое соотношением:

где N = n/n1 — относительный показатель преломления, п и n1 — соответственно, абсолютные показатели преломления линзы и окружающей среды, R1,2 – радиусы кривизны граничных поверхностей линзы.
Определение 7.
ТочкиF, лежащие по обе стороны линзы на расстоянии, равном фокусному – f, называются фокусами линзы. Фокус — это точка, в которой после преломления собираются все лучи, падающие на линзу параллельно главной оптической оси.
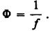
Определение 8.
Величина, обратно пропорциональная фокусному расстоянию, называется оптической силой линзы,
Ее единица измерения — диоптрия (дптр).
Определение 9.
Диоптрия — это оптическая сила линзы с фокусным расстоянием 1 м:
1 дптр = 1/м.
С практической точки зрения большое значение имеет ФОРМУЛА ТОНКОЙ ЛИНЗЫ:
, где
фокусное расстояние линзы,
расстояние от линзы до предмета,
расстояние от линзы до изображения предмета.