Таблица 2.1
| Метод | Направление анализа | ||||
| ситуац ионный | организационно- управлен ческий | Финансово- экономи ческий | производс твенно- хозяйственный | кадрового потенциала | |
| Сравнения | + | + | + | + | + |
| Балансовый | + | ||||
| Группировки | + | + | + | + | + |
| Кластерный | + | ||||
| Детализации | + | + | + | + | + |
| Относительных и средних величин | + | + | + | + | + |
| Графоаналитический | + | + | + | + | + |
| Сетевого планирования | + | + | + |
Сравнение объектов анализа между собой возможно лишь
при качественной их однородности. Сопоставимость исходных
данных достигается соблюдением ряда условий, к числу которых
относятся: единство оценок (например, нельзя сравнивать затра-
ты или себестоимость производства при изменении цен на сырье,
материалы, запасные части), устранение влияния изменения объ-
ема и структуры произведенной продукции, сравниваемость календарных периодов (например, нельзя сравнивать годовые данные с квартальными).
При анализе финансово-х зяйственной деятельности предприятия применяются следующие основные виды сравнений.
Сравнение отчетных показателей текущего периода с базовыми показателями дает возможность получить первоначальную ориентировку в итогах выполнения задания и выделить участки работы, требующие детального анализа, предопределяет в определенной мере направление анализа, позволяет дать предварительную оценку работе предприятия (положительную или отрицательную).
Сравнение отчетных данных с данными предшествующих периодов позволяет оценить динамику показателей финансово-хозяйственной деятельности предприятия. При анализе целесообразно сравнивать показатели как базовые, так и отчетные за рассматриваемый период с показателями предшествующих периодов – предыдущим годом или рядом предыдущих лет.
Сравнение отчетных показателей с нормативными позволяет провести контроль за затратами предприятия, способствует составлению и использованию на предприятии программы по экономии материальных ресурсов.
Сравнение показателей анализируемого предприятия с показателями аналогичных предприятий-конкурентов. Для такого сравнения можно брать только те предприятия, которые работают приблизительно в тех же условиях, что и анализируемое.В целом, этот вид сравнения дает возможность выявить резервы производства товаров и услуг и сформировать рекомендации по использованию на предприятии прогрессивных технологий процесса производства, современных методов организации труда и др.
Сравнение отчетных показателей со среднеотраслевыми дает возможность определить место, занимаемое предприятием на рынке товаров и услуг среди других предприятий той же отрасли.
Сравнение различных вариантов управленческих решений дает возможность выбора наиболее оптимального из них.
Сравнение результатов деятельности предприятия до и после внедрения какой-либо инновации позволяет провести оценку полученного эффекта и дальнейшего его сопоставления с ожидаемым (планируемым) эффектом. По результатам такого вида сравнения разрабатываются рекомендации по устранению подобных возможных отклонений в развитии предприятия.
Метод группировки. Содержание группировок и приемы их построения многообразны. Различны и задачи, выполняемые ими. Однако принято выделять следующие основные задачи, решаемые с помощью метода группировки: образование социально- экономических типов явлений на предприятии; изучение строения рассматриваемых явлений и структурных изменений, происходящих в них; выявление связи между изучаемыми показателями.
Для решения этих задач соответственно применяют типологические, структурные и аналитические группировки. Следует отметить, что подобная классификация группировок по выполняемым ими задачам имеет некоторую условность, поскольку они на практике применяются в комплексе. Это обусловлено многогранностью финансово-хозяйственных процессов предприятия.
Содержанием типологической группировки является выделение из множества признаков, характеризующих изучаемые явления, основных типов в качественно однородные. Необходимость проведения такой группировки обусловлена, прежде всего, потребностью обобщения первичной информации и получения на этой основе обобщающих показателей. Обычно на предприятии типологические группировки используют для анализа материалов, помещенных в средствах массовой информации.
Применение структурных группировок необходимо, когда группируются качественно однородные экономические явления по признаку сходства их экономической природы. На их основании можно определить средние величины, характеризующие явления и дающие возможность их правильного обобщения. Они используются при анализе состава и структуры предприятия (по производственным мощностям, по уровню механизации труда рабочих, по уровню производительности труда работников предприятия и др.), структуры продукции. Изменение структурной группировки чаще всего описывается одним из двух показателей.
Чем более значительны структурные сдвиги, тем больше
значения этих показателей. При отсутствии структурных сдвигов
оба они равны нулю. При расчете этих показателей следует пом-
нить, что количество групп в группировке и в базовом, и в теку-
щем периодах должно быть одинаковым.
Аналитические группировки служат для раскрытия содержания средних величин, выявления взаимосвязи и взаимозависимости экономических показателей (явлений), для оценки влияния на отклонения от различных средних величин. По аналитической
группировке можно рассчитать силу и характер связи между фак-
торами (например, между производительностью труда работни-
ков предприятия и заработной платой).
В целом, процесс построения группировки включает не-
сколько последовательных этапов: выбор группировочного при-
знака; упорядочение совокупности по этому признаку; определе-
ние количества групп; определение границ интервалов.
Выбрать один признак в качестве группировочного зачас-
тую бывает достаточно трудно. В этом случае пользуются мето-
дом многомерной группировки. Наиболее разработанным мето-
дом многомерной группировки является кластерный анализ.
Метод детализации. В системе показателей, используемых
для анализа деятельности предприятия, различаются обобщаю-
щие показатели оценок состояния объекта и частные факторные, используемые для выявления влияния отдельных факторов на обобщающий показатель.
Показатель среднего абсолютного изменения структуры рассчитывается по формуле:
(2.1)
где w1, w0 – доли i -й группы в базовом и текущем периодах;
k – количество рассматриваемых групп.
Показатель среднеквадратического изменения структуры рассчитывается по формуле:
, (2.2)
Для более глубокого изучения объекта необходимо выполнить разложение обобщающих показателей на частные, что достигается методом детализации.
Обобщающие показатели финансово-хозяйственной деятельности предприятия не характеризуют качества работы отдельных их структурных подразделений и исполнителей. В них нивелируются положительные и отрицательные результаты, полученные на отдельных участках работы и в различные периоды времени. Например, детализируя показатели по подразделениям предприятия, можно установить влияние каждого из них на использование основных фондов и выполнение производственной программы.
Детализацию можно проводить по различным признакам. В экономическом анализе наиболее часто встречается детализация по времени, месту получения показателей, составным элементам.
Детализация показателей по времени позволяет разложить показатели по хронологическим периодам - годовые по кварталам и месяцам; показатели за месяц - по дням и времени смены и т.д. В результате такой детализации получают частные показатели, которые отличаются друг от друга по величине. Их изучение позволяет выявить наиболее успешные периоды в работе, а также периоды когда работа выполнена не в полном (запланированном) объеме. Конкретные причины отклонений выявляют в ходе дальнейшего анализа. Неравномерности производственных процессов во времени могут иногда вызываться причинами, независящими от предприятия (например, сезонностью).
Детализация показателей по месту их получения направлена на определение значения и вклада отдельного структурного подразделения предприятия в обобщающие результаты его деятельности, на выявление лидирующих и отстающих участков производства.
Отдельные виды работ, необходимые предприятию, могут выполняться другими сторонними предприятиями (внешними источниками). Тогда детализация обобщающих показателей по месту их получения дает возможность разграничить факторы, зависящие от предприятия и не зависящие от него. По результатам полученной информации могут формироваться рекомендации по использованию других внешних источников (например, более надежных) или по сохранению переданной функции на предприятие.
Детализация показателей по отдельным составным элементам позволяет выявить структуру обобщающих показателей работы предприятия, установить роль отдельных составных частей в образовании этих показателей, что в значительной степени будет содействовать выявлению факторов, оказывающих влияние на достигнутые результаты. Метод детализации позволяет последовательно их раскрыть. Эта последовательность состоит в том, что выявленные при первоначальной детализации составные частные подвергаются дальнейшей детализации. При выявлении новых показателей они в свою очередь опять детализируются и т.д. Такое деление продолжается до тех пор, пока будут установлены первопричины тех или иных результатов работы предприятия.
Степень детализации анализируемых показателей и их направленность может быть различна. Так, детализация показателей себестоимости продукции может быть произведена по однородным экономическим элементам, статьям калькуляции, отдельным видам продукции и т.д.
Балансовый метод. Во многих случаях взаимосвязи между отдельными сторонами финансово-хозяйственных процессов, протекающих на предприятии, выражаются в виде балансов (материального, бухгалтерского, доходов и расходов и др.).
Балансовый метод эффективен в разных областях аналитической работы на предприятии. Особое распространение он получил при анализе финансовых показателей, где главным источником информации является бухгалтерский баланс. Кроме того, этот метод используется как вспомогательный для проверки расчетов, произведенных посредством других методов.
Балансы представляют собой две системы взаимосвязанных экономических показателей, между которыми имеется полное соответствие.
Балансовые связи количественно отражают строго установленную функциональную взаимозависимость отдельных элементов. Изменение одного элемента в экономическом балансе неизбежно вызывает одновременное изменение другого элемента.
Изучение экономических балансов дает возможность выявить причины, оказывающие влияние на результаты финансово- хозяйственных процессов. В наибольшей степени эта возможность проявляется при сравнении двух балансов: базового (или ожидаемого) и отчетного (или фактического).
Графоаналитический метод. Графоаналитический метод чаще всего используется в изучении финансово-хозяйственной деятельности предприятия для графического отображения аналитической информации, а также дальнейшего анализа полученного образа. К наиболее распространенным можно отнести следующие виды пространственных отображений: графики, схемы, алгоритмы, рисунки и др.
В общем случае график представляет собой чертеж, на котором при помощи условных геометрических фигур (линий, точек или других символических знаков) изображаются полученные в ходе анализа данные. В результате этого достигается наглядная характеристика изучаемого объекта. Выбор графиков (гистограмма, столбиковые диаграммы, кривая частотности, секторная диаграмма и др.) зависит от характера решаемых задач.
Важную роль графики играют не только в иллюстрации изучаемых явлений, но и в обобщении информации. Наряду с этим графики имеют важное аналитическое значение. При графическом изображении данных становится более выразительной сравнительная характеристика изучаемых показателей, отчетливее проявляется тенденция развития изучаемого явления, лучше видны основные взаимосвязи.
В графике различают следующие основные элементы:
· поле графика, т.е. место, на котором он выполняется. Поле графика характеризуется его форматом, например, оптимальной для восприятия считается соотношение сторон от 1:1,3 до 1:1,5;
· графический образ - символические знаки (линии, точки, круги и т.д.), с помощью которых отображаются аналитические данные. Поскольку одни и те же данные можно изображать с помощью различных графических образов, то важен правильный
· выбор такого графического образа, который доходчиво отражает изучаемые показатели и соответствует предназначению графика;
· пространственные ориентиры определяют размещение графических образов на поле графика и задаются координатной сеткой или контурными линиями;
· масштабные ориентиры придают графическим образам количественную значимость, которая передается с помощью системы масштабных шкал;
· экспликация графика, т.е. пояснение его содержания, включает в себя заголовок графика, объяснения масштабных шкал, пояснения отдельных элементов графического образа (легенда, подписи данных и др.).
Наравне с графиками, при подготовке аналитической записки и презентации результатов анализа, также используются схемы, алгоритмы, рисунки.
К особому виду графиков можно отнести сетевые графики, являющиеся графическим отображением сетевой модели, на использовании которой, в свою очередь, основан метод сетевого планирования.
Сетевое планирование – это графическое представление плана работ, отражающее их логическую последовательность, взаимосвязь и трудоемкость, с целью последующей оптимизации построенного графика. Анализ сетевого графика позволяет повысить эффективность управления за счет рациональной организации производственных процессов предприятия, а также выявления и мобилизации скрытых ресурсов времени и материальных средств. Оптимизация сетевых графиков является одним из методов реализации логистического принципа организации работ «точно вовремя».
Каждая из тех работ, которые показаны на сетевом графике, завершается определенным событием. Событие, таким образом, представляет собой момент начала последующей работы (работ). Последующее событие не может наступить ранее предыдущего, т.е. для наступления последующего события необходимо выполнить определенную работу (работы).
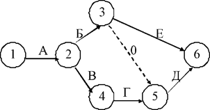
В сетевом графике событие обозначается кружком или прямоугольником с указанием в нем номера события, а работа - стрелкой. Над стрелками, обычно, проставляют продолжительность работ или их трудоемкость (ресурсоемкость). Итак, чтобы составить сетевой график, необходимо иметь следующую информацию: во-первых, перечень требуемых мероприятий (событий или работ), во-вторых, взаимозависимость мероприятий, т.е. их очередность. Ниже представлен пример сетевого графика (рис. 4), в котором работами (на графике они показаны стрелками с буквами) соединены 6 событий (на графике они показаны кружками)
Если для перехода от одного события к другому не требуется затрат времени и средств, но вместе с тем между рассматриваемыми событиями существует взаимосвязь, то на сетевом графике эта связь обозначается пунктирной стрелкой. В этом случае говорят о фиктивной работе. Так, на рис. 4пунктирная линия показывает, что работа Д следует за Г и Б, но не требует затрат времени и средств (ноль над стрелкой). Если исключить пунктирную линию, то работа Д будет следовать только за Г.
Все работы через промежуточные события ведут к конечному событию, которое обозначает достижение цели. В приведенном выше примере сетевого графика (рис. 4) это событие обозначено цифрой 6.
Расчет параметров сетевой модели сводится к определению следующих данных:
· ожидаемых сроков выполнения комплекса работ в соответствии с сетевым графиком;
· состава работ критической зоны (критического пути), т.е. определение тех работ, у которых резервы времени минимальны;
· сроков начала и окончания работ критической зоны;
· ранних и поздних сроков начала и окончания остальных работ сетевого графика с определением имеющихся резервов (запасов) времени.

Рис. 2.3. Обозначение работ и событий на сетевом графике
Непрерывная последовательность взаимосвязанных работ и событий – это путь сетевого графика. Критический путь – путь наибольшей длины между начальным и конечным событиями сетевого графика; его продолжительность определяет срок выполнения комплекса работ в целом.
Каждое событие сетевого графика характеризуется тремя расчетными показателями, определяющими срок его наступления.
Наиболее ранний срок наступления каждого события в сети Тр(j), где j = 1, 2,..., n - одно из событий данной сети.
На рис. 2.3. n = 1, 2,..., 6.
Время Тр(j) является минимально необходимым временем между наступлением начального и данного событий. Тр(1)=0, т.е. для начального события сетевого графика наиболее ранний срок наступления равен нулю. Для любого другого события j этот показатель определяется таким образом:
Тр(j) = таx[Тр(i) + tij], (2.3)
где Тр(i) – наиболее ранний срок наступления события i, предшествующего событию j;
tij – продолжительность работы i-j.
Наиболее поздний срок наступления события в сети Тп(i).
Этот показатель определяет наибольшее допустимое время наступления события, не требующее увеличения времени на осуществление всего комплекса работ. Для критических событий сетевого графика Тр(i) = Тп(i); для начального Тп(1) = 0. Для других событий сетевого графика Тп(i) определяется так:
Тп(i) = min[Tп(j) - tij], (2.4)
где Тп(j) – наиболее поздний срок наступления последующего события j;
tij – продолжительность работы i-j.
Этот показатель рассчитывается от конца сетевого графика к началу, т.е. в направлении, обратном определению наиболее раннего срока наступления событий. Для конечного события k делается предположение, что наиболее ранний срок его наступления равен наиболее позднему сроку: Тp(k) = Тп(k).
Допустимый срок наступления события Та(j) находится в пределах:
Тр(j)≤ Та(j)≤ Тп(j). (2.5)
Данное неравенство показывает, что допустимый срок наступления события должен находиться в диапазоне изменений от наиболее раннего срока наступления до наиболее позднего срока наступления данного события.
Для критических событий – событий, находящихся на критическом пути, Tр(k) = Та(k) = Тп(k).
Результаты расчетов сроков наступления событий заносят на сетевой график или в таблицу.
Оптимизация сети по времени заключается в сокращении критического пути и проводится в следующем порядке:
a) проверяется правильность временных оценок работ критической зоны сетевого графика, т.е. таких работ, которые или уже находятся на критическом пути, или имеют минимальные резервы времени; необходимо стремиться к тому, чтобы продолжительность работ критической зоны была минимальной в допустимых пределах;
b) изучается возможность замены последовательного выполнения работ параллельным там, где это допустимо технологией, с целью сокращения общей продолжительности работ;
c) проводится перераспределение ресурсов между работами сетевого графика, т.е. резервы времени, которыми располагают работы вне критической зоны, передаются работам критическим или близким к ним;
d) анализируется возможность максимального сокращения критических работ;
e) сокращаются сроки выполнения комплекса работ за счет привлечения дополнительных ресурсов, а также изменения технологических условий производства комплекса работ.
Контрольные вопросы:
1. Дайте определение методу АФХД.
2. Дайте определение методике.
3. Назовите цель комплексного анализа финансово- хозяйственной деятельности предприятия. Перечислите этапы комплексного анализа.
4. Дайте определение системному подходу, используемому в АФХД предприятия.
5. Перечислите принципы системного подхода.
6. Назовите этапы реализации системного подхода.
7. Укажите основные критерии классификации показателей, используемых при АФХД предприятия.
8. Сформулируйте суть метода сравнения.
9. Назовите виды сравнений, применяемых при АФХД предприятия.
10. Сформулируйте суть метода группировки.
11. Перечислите основные виды группировок.
12. Сформулируйте суть балансового метода.
13. Сформулируйте суть метода детализации.
14. Сформулируйте суть графоаналитического метода.
15. Назовите основные элементы графика.
16. В чем заключается сущность сетевого планирования?
17. Назовите порядок оптимизации сети по времени.
Тема 3. ФАКТОРНЫЙ АНАЛИЗ ДЕЯТЕЛЬНОСТИ
ПРЕДПРИЯТИЯ
Аннотация. Предпочтительная область использования факторных методов анализа; детерминированный факторный анализ; типы факторных моделей; элиминирование; метод пропорционального деления и долевого участия; индексный метод; стохастический факторный анализ; корреляционный анализ; регрессионный анализ.