Мощности конечных множеств - натуральные числа, и их можно складывать, умножать, возводить в степень. Эти операции можно обобщить и на мощности бесконечных множеств, и делается это так.
Пусть
и
- два множества. Чтобы сложить их мощности, надо взять мощность множества
, если
и
не пересекаются. Если они пересекаются, то их надо заменить на непересекающиеся равномощные им множества
и
. Мощность объединения и будет суммой мощностей множеств
и
. Множества
и
можно выбрать следующим образом: положим
и
.
Произведение мощностей – мощность декартова произведения 
Возведение в степень. Рассмотрим (для данных
и
) множество всех функций вида
(их область определения есть
, а область значений содержится в
). Это множество обозначается
, и его мощность и будет результатом операции возведения в степень.
Если множества
и
конечны и содержат
и
элементов соответственно, то
содержит как раз
элементов. В самом деле, определяя функцию
, мы должны определить ее значение на каждом из
элементов. Это можно сделать
способами, так что получаем всего
вариантов.
|
|
|
Пример.
Обозначим через
множество из двух элементов, например,
.
по определению это множество функций
. Такие функции - это последовательности нулей и единиц, только вместо
пишем
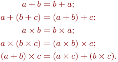
Свойства сложения и умножения (коммутативность, ассоциативность и дистрибутивность) сохраняют силу и для арифметики мощностей:

Формально их следует читать, избегая слова " мощность" как самостоятельного объекта: например,
означает, что
и
равномощны (и это легко проверить:
будет взаимно однозначным соответствием между ними).
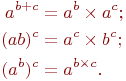
Свойства, включающие возведение в степень:

Проверим первое из них. Элементами
(
и
не пересекаются) являются функции со значениями в
, определенные на
. Такая функция состоит из двух частей: своего сужения на
(значения на аргументах из
остаются теми же, остальные отбрасываются) и своего сужения на
. Тем самым для каждого элемента множества
получаем пару элементов из
и
. Это и будет искомое взаимно однозначное соответствие.
Мощность счетного множества символически обозначается
мощность континуума (отрезка или множества бесконечных последовательностей нулей и единиц) обозначается
. По определению,
.
(Обычно
обозначает наименьшую несчетную мощность. Гипотеза континуума утверждает, что
.)
Известные свойства счетных множеств можно записать следующим образом:
для конечного
(объединение счетного и конечного множеств счетно);
(объединение двух счетных множеств счетно);
(объединение счетного числа счетных множеств счетно).
Отсюда можно формально получить многие факты манипуляциями с мощностями.
|
|
|
Пример
1) цепочка равенств

показывает, что прямая и плоскость равномощны.
Аналогично,
2) 
3) 
4)
.
5) Приведенные свойства мощностей полезно сочетать с теоремой Кантора- Бернштейна. Например

поэтому
(множество всех бесконечных последовательностей натуральных чисел имеет мощность континуума).






