А + В → продукты
2А → продукты
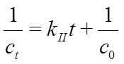
В случае реакции 2-го порядка m + n = 2:
v = kII×cA×cB = kII×c2
В таком случае концентрацию в момент времени t можно найти из выражения


Зависимость обратной концентрации от времени для реакций второго порядка
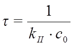
Время полупревращения для реакции 2-го порядка, в отличие от реакции 1-го порядка, не является постоянной величиной, а зависит от концентрации:








