Раздел 1.02 3. Терминология системы СПУ
Раздел 1.01 2. Правила построения сети.
Приступая к построению сети, следует вначале установить:
1)Какие работы должны быть завершены ранее, чем начнется данная работа;
2)Какие работы могут быть начаты после завершения данной работы;
3)Какие работы могут выполняться одновременно с данной работой.
Порядок построения сети может быть разной, но в целях типизации лучше придерживаться ряда общих положений и правил:
- сеть вычерчивается слева направо;
- каждое событие с большим порядковым номером
изображается правее предыдущего;
- рекомендуется нумерацию событий осуществлять после построения сети;
- работы - стрелки могут иметь произвольную длину и наклон, но все же им следует придавать общее направление тоже слева направо;
- по возможности следует избегать пересечения стрелок, лучше несколько сместить событие или изобразить стрелку в виде ломаной линии.
При построении сети первоначально составляется черновой вариант, обычно не упорядоченный и неполный. Внешнему виду сети при этом не уделяется особого внимания. В связи с этим взаимное расположение событий может оказаться неудачным и сеть будет чрезмерно сложной.
|
|
|
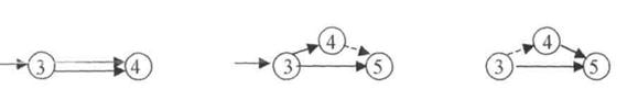
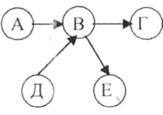
В процессе упорядочения сети в.нее добавляются все "забытые" и неучтенные работы и взаимосвязи. При построении сетевой схемы очень часто приходится использовать некоторые технические приемы. Наиболее распространены случаи, когда две или более работ имеют общее начальное и конечное событие. Следовательно, они выполняются совмещено, хотя и необязательно одновременно, так как обе работы имеют различную продолжительность (например, санитарно-технические и электромонтажные работы в жилом или общественном здании, которые обычно выполняются после готовности каркаса или стен, а заканчиваются к моменту начала отделочных работ). Учитывая, что любая работа может соединять только два события, параллельные работы следует изображать, вводя промежуточные события и холостые связи.

б) правильно а) неправильно
Рис.3
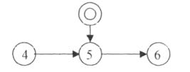
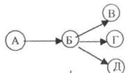
На сетевом графике изображаются не только взаимосвязи отдельных производственных операций, включая и технологические перерывы, но так же и всевозможные поставки материально - технических ресурсов и технической документации. Внешние поставки принято изображать стрелкой, идущей от двойного кружка к событию, с которого начинается потребление поставляемого материала, изделия или оборудования (рис.4).

Рис.4
При построении сетевых графиков часто приходится одновременно отражать не только технологические, но и организационные связи. Зависимость организационного характера выражается в последовательном переходе рабочих бригад и переброске оборудования с участка на участок.
|
|
|
В сетевом графике недопустимы замкнутые контуры, когда стрелки возвращаются к тому же событию, из которого вышли.
Все события сетевого графика должны быть связаны между собой сплошными или пунктирными стрелками.
При построении сети нельзя допускать "тупиков", т. е. событий, из которых не выходит ни одной работы (событие 5, рис.5).

Рис. 5
Точно также в сети не должно быть " хвостовых " событий, в которые не входит ни одна работа (событие 8), если только эти события не являются исходными для данной сети (рис.5).
Стрелки работ не могут повисать свободно, подобно работе, выходящей из события 9 (рис.5). Каждый исполнитель формирует сеть на отведенной ему
подкомплекс работ. При этом в сети одного подразделения появляются события, в которых нуждаются другие подразделенной наоборот. Таким образом, возникает необходимость объединения первичных сетей. Процесс объединения многих сетевых графиков в один общий носит название "сшивание сетевого графика. При "сшивании" выявляются и устраняются все случаи несогласованности между отдельными участками сети путем опроса заинтересованных ответственных
исполнителей.
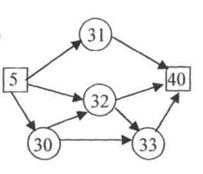
Процедуру "сшивания" сети проследим на примере. Предположим, двум ответственным исполнителям поручено составить первичные сетевые графики на соответствующие подкомплексы операций, находящихся в их ведении. Для этой цели первоначально устанавливаются граничные события, общие для обеих сетей. Такими событиями являются 5 и 40, которые будут служить началом и концом в каждом сетевом графике. Нумерацию всех остальных событий исполнители ведут самостоятельно и независимо друг от друга. Затем обе сети объединяются в одну, имея в качестве общих событий 5 и 40. В процессе "сшивания" сетей может производиться частичное укрупнение работ, так как детали отдельных частных задач могут не иметь существенного значения для более высокого уровня руководства.


Нумерация событий по каждому первичному графику применяется своя. С этой целью каждой организации выделяется определенное число номеров. Например: от 0 до 100, от 101 до 150, от 151 до 200 и т. д. При этом необязательно, чтобы все числа были бы полностью использованы при нумерации. Число событий может оказаться меньше запланированного числа номеров.

В процессе "сшивания" сети внутри события первоначально дробью проставляется два номера, сверху - старый, а снизу новый порядковый номер
сводной сети.
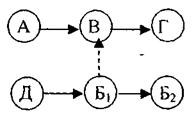
В последнее время все чаще отказываются от " сшивания " сетей вручную. Эту работу начали выполнять ЭВМ по специально разработанной программе. Граничные события отдельных сетей вводятся в "память машины", которая "сшивает " их, одновременно перенумеровывая (рис.6в).
Каждая специализированная организация, разрабатывая свой частный сетевой график может принять и свои условные обозначения для событий. Вместо кружков могут быть приняты прямоугольники, квадраты, овалы, трапеции и т. д. Введение условных обозначений делает сводный сетевой график более наглядным и позволяет каждой организации быстро находить свои работы и их связи на общей сети.
Примеры построения сетей: 1) Нельзя допускать работ, имеющих одинаковые шифры, т. е. работ с общим начальным и конечным событиями (рис.7).


а) не правильно б) правильно
Рис.7
2) Изображение сложных работ:
Если какие-либо работы в сети могут быть начаты до полного окончания непосредственно предшествующей им работы, то эта последняя должна быть представлена как сумма таких последовательных выполняемых работ, результаты которых необходимы и достаточны для начала следующих работ(рис.8).

|
|
|
а) неправильно б) правильно
Рис.8
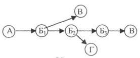
3) Изображение дифференцированно - зависимых работ:
если для выполнения одной из работ (напр. ВГ), необходимо получение результатов всех работ, входящих в начальное для них событие, а для другой работы (напр. ВЕ) - только одной или нескольких из этих работ (напр. ДВ), то в сеть должно быть дополнительно введено новое событие (В1), отражающее результаты только этих последних работ, и фиктивная работа (В1 В), связывающая новое событие с прежним (рис.9).

а)неправильно б) правильно
Рис.9
1. Граничная работа - работа, у которой предшествующее или последующее событие является граничным.
2. Граничное событие - событие сетевой модели, являющееся общим минимумом для двух фрагментов сети или у которого имеются предшествующие и последующие события, принадлежащие разным фрагментам.
3. Завершающее событие - событие, которое отражает конечную цель комплекса операций, описываемого данной сетью. Завершающее событие не имеет следующих за ним работ.
4. Зависимость (фиктивная работа) - связь между двумя событиями (не
требующая затрат времени и ресурсов), указывающая, что результат,
отображенный в предшествующем событии, необходим для получения результата,
отображенного в последующем событии.
5. Исходное событие - событие, которое отражает исходные условия выполнения
комплекса операций, описываемого данной сетью. Исходное событие не имеет
предшествующих ему работ.
6. Коэффициент напряженности работы - отношение продолжительности несовпадающих отрезков пути максимальной продолжительности, проходящего через данную работу, и критического, заключенных между одним и тем же событиями. Коэффициент напряженности работы обозначается Кн.
7. Комплекс операций - совокупность экономических, организационных и технических мероприятий, направленных на создание объекта, изделия, системы новой техники, разработку научно/-/исследовательской темы или на выполнение другой подобной задачи.
8. Конечное событие работы - событие, которому непосредственно предшествует данная работа.
9. Критическая зона - совокупность работ, полные резервы времени которых меньше заданной величины. Работы критической зоны расположены на критических и подкритических путях.
|
|
|
10. Критический путь - путь сетевого графика, имеющий наибольшую продолжительность критического пути, измеряется в единицах времени и обозначается I кр.
11. Критическая работа - работа, принадлежащая критическому пути.
12. Критическое событие - событие, принадлежащее критическому пути.
13. Максимальная продолжительность работы (
) - предполагаемая продолжительность работы при наиболее благоприятном стечении обстоятельств.
14. Минимальная продолжительность работы (
) - предполагаемая продолжительность работы при наиболее благоприятном стечении обстоятельств.
15. Наиболее вероятная продолжительность работы (
)
продолжительность, имеющая место при нормальных, чаще всего встречающихся условиях выполнения данной работы.
16. Начальное событие работы - событие, за которым непосредственно следуетданная работа.
17. Нормативная продолжительность работы (
) - продолжительность работы, установленная на основании имеющихся нормативов.
18. Ожидание - процесс, требующий только затрат времени. Чаще всего это технологические перерывы и ожидание поставок.
19. Ожидаемая продолжительность работы - временная оценка, которая либо непосредственно задается в виде нормативной оценки (
), либо выражается через вероятностные оценки
. по соответствующим формулам и используется в качестве исходной при расчетах сетевого графика.
20. Ответственный исполнитель - назначаемое в установленном порядке лицо, непосредственно отвечающее за выполнение определенного комплекса работ.
21. Отчетный период - период времени, за который происходит обновление информации о ходе разработку.
22. Первичный сетевой график - сетевой график, составляемый ответственным исполнителем на закрепленный за ним комплекс работ.
23. Подкритический путь сетевого графика - путь, продолжительность которого отличается от продолжительности критического пути на величину, меньшую заданной.
24. Поздний срок начала работы (
) - самый поздний срок начала работы, при котором общий планируемый срок окончания комплекса операций не меняется.
25. Поздний срок окончания работы (
) - самый поздний срок окончания работы, при котором общий срок окончания комплекса операций не меняется.
26. Поздний срок свершения события (
) - самый поздний срок свершения события, при котором общий планируемый срок окончания комплекса операций не меняется.
27. Полный путь - путь сетевого графика от исходного события до
завершающего события.
28. Полный резерв времени работы (
) - максимальное количество времени, на которое можно увеличить продолжительность данной работы, не изменяя при этом I кр.
29. Путь сетевого графика - любая последовательность работ сетевого графика, в которой последующее событие каждой работы совпадает с предшествующим событием следующей за нею работы.
30. Работа - элемент сетевой модели, отражающий:
а) четко определенный этап трудового процесса, требующий затрат времени и
ресурсов;
б) ожидание;
в) зависимость.
31. Ранний срок начала работы (
) - самый ранний из возможных сроков начала работы.
32. Ранний срок окончания работы (
) - самый ранний из возможных сроков окончания работы.
33. Ранний срок свершения события (
) - наиболее ранний из возможных сроков свершения этого события.
34. Резервная зона - совокупность работ, полные резервы времени которых больше заданной величины.
35. Свободный резерв времени работы (Рс) - максимальное количество времени, на которое можно увеличить продолжительность работы, не изменяя при этом ранних сроков начала последующих работ.
36. Сводный сетевой график - графическое изображение сетевой модели комплекса операций в виде стрелок и кружков.
37. Сетевой график - графическое изображение сетевой модели комплекса операций в виде стрелок и кружков.
38. Сетевая модель - представление комплекса операций в виде графа - сети.
39. Событие - факт получения конечных результатов всех непосредственно предшествующих ему работ и готовности начала непосредственно следующих за ним работ.
40. Топология сетевого графика - структура сетевого графика, т. / е. схематическое изображение событий и работ, определяющее их взаимосвязь.
41. Фрагмент сети - часть сетевой модели, охватывающая объем работ, выполнение которых закреплено за отдельной организацией, подразделением или ответственным исполнителем.
Этап 2 Корректирование и оптимизация сетевых графиков.
Корректирование сети производят:
1) по критерию " время ";
2) с учетом ограничений по количеству рабочих;
3) с учетом ограничений по материальным ресурсам;
4) с учетом ограничений по денежным ресурсам;
5) оптимизация сети по критерию "время - себестоимость".
а) Основные принципы оптимизации сетевых графиков,
Составленный сетевой график рассматривается и согласовывается со всеми организациями - исполнителями и поставщиками. При этом еще раз проверяются технологические и организационные связи. После определения при помощи ЭВМ или вручную всех расчетных параметров и критического пути получается первоначальный вариант исходного сетевого плана. Второй этап сетевого планирования и управления заключается в корректировании сетевого графика, т. е. в приведении его в соответствие с заданными сроками и возможностями организаций. Метод планирования и управления большими системами только по критерию "время" в современных условиях является недостаточным. Успех выполнения сложных разработок зависит не только от четкой координации работ во времени, но и от того, насколько правильно распределены необходимые для достижения поставленной цели материальные и трудовые ресурсы организаций, осуществляющих работы.
Процесс корректирования сетевого графика чаще всего называют его оптимизацией, подразумевая под этим последовательное улучшение сети с целью достижения заданного срока или равномерного распределения (с учетом
имеющихся организаций различных видов ресурсов (трудовых, материально-технических, финансовых и др.).
В отдельных случаях материальные возможности могут оказать решающее влияние на создание системы. Задачей системы СПУ и ее дальнейшего развития является обеспечение соответствия между установленными сроками работ и 01 пущенными для их выполнения ресурсами.
Первоначально сеть корректируется по критерию "время" без учета ограничений. По достижении заданного срока приступают к корректированию распределения ресурсов. Очередность корректирования по отдельным видам ресурсов устанавливается в зависимости от значения каждого из них в данных конкретных условиях. Чаще всего лимитирующими оказываются время и людские ресурсы. В отдельных случаях решающим для достижения заданного срока могут служить ограничения по какому - либо виду материала, деталям или конструкциям. Сетевой график при этом следует корректировать в первую очередь по критерию "время - материал", если же ограничения касаются выделяемых ассигнований, то первоначально корректирование производится по критерию "время - денежные затраты".
Ввиду отсутствия математического аппарата по оптимизации сетевого графика по нескольким критериям одновременно, ее приходится выполнять лги последовательно по каждому ресурсу в отдельности. Поскольку оптимизация сетевого графика осуществляется за счет частных резервов времени, каждая последующая оптимизация выполняется в пределах оставшихся частных запасов времени. Абсолютная величина первоначальных частных резервов времени постепенно уменьшается и в итоге по отдельным видам работ может быть полностью исчерпана.
Проведение каждой последующей оптимизации отражается на результатах предшествующей, которые могут измениться и потребовать повторного корректирования. После каждой оптимизации производиться поверочный расчет всех временных параметров сети: заново определяется количество критических работ, возрастающих с каждой оптимизацией, и резервы ненапряженных работ, используемые для последующего корректирования, а также критический путь. Окончательное решение, отвечающее требованиям соблюдения заданного срока, принципам равнопоточности при выполнении работ на разных участках, наиболее целесообразному распределению всех видов ресурсов, принимается на основе многократного просчета сети. Этот процесс весьма трудоемок, он сопровождается большим количеством вычислений, поэтому его рекомендуется выполнять на электронно-вычислительных машинах. Просчет на ЭВМ нескольких вариантов решений и сравнение их между собой позволяет отыскать наилучший, б) Корректирование сети по критерию "время"
Расчетный критический путь первоначального варианта сетевого графика может оказаться меньше или больше заданного директивного срока. В первом случае возникает дополнительный резерв времени, который может быть использован для увеличения продолжительности отдельных критических работ при последующей оптимизации. Во втором случае возникает отрицательный резерв. В этом случае сеть следует пересмотреть с целью ее уплотнения.
Главная задача, решаемая при этом, состоит в ускорении тех работ, из которых в каждом данном случае складывается критический путь.
Уплотнение сетевого графика или, иначе, его перепланирование, производится обычно несколько раз методом последовательных приближений, т.е. многократным сжатием очередного критического пути, пока не будет достигну! удовлетворительный результат. В настоящее время существуют алгоритмы автоматического сжатия сети.
Существует несколько методов приведения сетевого графика в соответствие с заданными сроками:
- изменение временных оценок путем замены первоначально запланированной их
продолжительности выполнения работ сокращенной;
- изменение топологии сети вследствие пересмотра технологии организации
выполнения работ;
- расчленение работ и их совмещение во времени.
Общий срок выполнения программы следует сокращать в первую очередь за счет изменения продолжительности критических работ. Это один из наиболее распространенных приемов, так как он не связан с изменением топологии сети. Сеть не вычерчивается заново, меняются лишь временные оценки, проставляемые под стрелками.
Рекомендуется уменьшать продолжительность не только критических работ, но и работ, лежащих на подкритических путях, так как последние легко могут стать критическими. Уменьшение временных оценок по критическим работам обеспечивается в первую очередь за счет переброски соответствующих ресурсов с ненапряженных работ, характеризуемых значительными резервами времени. Однако такой переброской не следует злоупотреблять, так как работы, лишенные всех своих резервов, станут критическими, и заданный срок не будет достигнут.
Если внутренних ресурсов недостаточно, следует ставить вопрос о привлечений рабочих и оборудования извне, для использования которых в ряде случаев организуется вторая и третья смены.
Одновременно с сокращением критического пути уменьшаются и резервы времени, в результате чего постепенно возникает все больше критических работ и путей. Возможно разветвление критических путей, а в перспективе все пути могут стать критическими. Если после продолжительности выполнения программы директивный срок не достигнут, ставится вопрос перед вышестоящими организациями об изменении этого срока.
в) Корректирование сети с учетом ограничений по количеству рабочих.
В рамках отдельных специализированных организаций, имеющих в своем распоряжении ограниченные людские ресурсы, первостепенное значение приобретает вопрос непрерывного и равномерного использования работников.
При составлении локальных сетевых графиков правильное распределение рабочих и обеспечение их постоянной загрузкой достигается последующей оптимизацией сети по данному параметру.
Процедуру оптимизации сети по трудовому ресурсу проиллюстрируем примером (рис. 11).
Предположим, что приведенный график является частным графиком какой -либо специализированной организации. Над каждой работой указаны продолжительность работ в днях и число занятых рабочих (в скобках). Поскольку расчет графика уже произведен, все его параметры и критический путь известны. На основе имеющихся данных о продолжительности работ и частных резервах времени построим линейный календарный план работ по ранним началам некритических работ (см. табл.3).
Суммируя количество рабочих на каждый день по всем работам и построй» по этим данным график движения рабочих, увидим, что он испытывает значительные колебания. Следовательно, сетевой (график) план с точки зрения использования рабочих составлен неудовлетворительно и должен быть скорректирован с учетом имеющихся ограничений.
Предположим, что в распоряжении организации имеется 30 рабочих, которых необходимо обеспечить непрерывной и равномерной работой. Под этим углом зрения и следует перестроить сетевой график. Воспользуемся имеющимися запасами времени по некритическим работам и изменим их продолжительность,или передвинем их начало, или выполним то и другое вместе с таким расчетом, чтобы суммарное число рабочих на каждый день составляло бы 30 человек.
Первая и вторая критические работы остаются без изменения. Работу 2-3 продолжительностью 3 дня с запасом времени в 1 день, увеличиваем до 4-х дней, уменьшая при этом количество рабочих с 14 до 10 человек. Работу 2-4, имеющую трудоемкость 32 чел.-дня и запас времени 8 дней, передвигаем на 4 дня вправо и увеличиваем ее выполнение до 6 дней. Число рабочих при этом вместо необходимых 5-ти человек принимаем 4 человека, переводя их с критической работы 1 - 3 и создав им условия для повышения производительности труда на 25%. Оставшиеся 16 человек с этой же работы переходят на критическую работу 3 - 4. Предполагается, что в данной специализированной организации используются рабочие одной профессии или лица, владеющие смежными профессиями.
Дальнейшая передвижка заключается в том, что 10 человек с работы 2-3 переводим на работу 3-5 и за счет имеющегося у нее резерва времени увеличиваем ее продолжительность до 6 дней. Трудоемкость работы при этом не меняется. Освободившиеся на работе 3-4 шестнадцать человек переводим на критическую работу 4 - 6 и к ним еще добавляем двух человек с работы 2 - 4 в соответствии с запланированным числом (18 человек). Оставшиеся свободными два человека добавляются к рабочим, занятым на работе 3 - 5, и вместе с ними пег сводятся на работу 5 - 6, продолжительность которой увеличивается с 3-х до 4-х дней, при этом частный резерв сокращается до одного дня. Полученные новые продолжительности изображаются на графике рядом со старыми тонкими линиями, над которыми проставлено и новое число рабочих (см.табл.З). Просуммировав вновь рабочих по всем работам за каждый день, увидим, что их число остается неизменным и равным 30 на протяжении выполнения почти всех работ. Учитывая, что сроки выполнения работ изменились, следует снова пересчитать сетевой график. Произведенный расчет показывает, что критический путь остался без изменения, но появились две дополнительные критические работы 1-2 и 2-3.
Подобное корректирование сетевого графика можно выполнять не по всем работам, а выборочно, по отдельным профессиям рабочих, занятых на выполнении определенных работ.
Сетевой график, скорректированный по численности рабочих, представлен на рис.12.

д) Корректирование сети с учетом ограничений по материальным ресурсам.
Несоответствие между потребностями в ресурсах, предусмотренными сетевым
графиком, и возможностями поставщика может нарушить ход выполнения
разработки и привести к срыву директивного срока. Такое положение возникает по
одному или нескольким видам материалов.
Оптимальное распределение нескольких видов материальных ресурсов по работам сети при существующих ограничениях является трудной задачей, требующей громоздких вычислений и сравнений большого числа вариантов. Поэтому мы рассматриваем метод приближенного решения этой задачи на примере одного материала.
Любая сеть может характеризоваться значительными колебаниями в потреблении отдельных видов материальных ресурсов. Особенно это характерно, для укрупненных сетей, в которых под каждой работой - стрелкой подразумевается комплекс операций (например, отдельное здание или сооружение.). Неравномерность в потреблении материалов легко обнаруживается при построении линейного графика в виде стрелок (см.табл.4).
| № п/п | Наименов материала | Ед. изм. | Кол-во во | / г V- | Рабочие дни | ||||||||||||||||
| ЗЖ | 5'' б | 7 8 | 9 10 | II 12 | 15 16 | 17 18 | 19 20 | 23 24 | 25 26 | 27 28 | 29 30 | 31 32 | 33 34 | 35 36 | |||||||
| Бетон | , * 1 | а | я | *л | '4* | Ч | г= | 1 к | |||||||||||||
| но | ЧП | ^Ч | ""Т^ | щ | |||||||||||||||||
| т9 | |||||||||||||||||||||
| Раствор | Ч | Г= | ь | ||||||||||||||||||
| 14 0 | <ч | I | |||||||||||||||||||
| н? | |||||||||||||||||||||
| Кирпич | Ш | ь | г= | ^ | И | ь | 4 1 | ||||||||||||||
| Щ | Р | р | |||||||||||||||||||
Стрелка такого графика изображает работу, потребляющую тот или иной
материал, указанный в левой части графика. Шифр работы, принятый по сетевому графику, проставляется в начале и в конце стрелки. Длина стрелок и их положение на графике обуславливают собой сроки расхода данного материала
(цифры под стрелками). Над стрелками показано общее количество материала, расходуемое за указанный отрезок времени. Критические работы на линейном графике показаны двойными линиями - стрелками, а частные резервы времени некритических работ - тонкими линиями. Выбрав из общей номенклатуры материалов такой, который является основным при выполнении данной программы или связан с ограниченными возможностями поставщика, перераспределяют его с целью обеспечения более равномерного потребления.
Перераспределение ресурса производится за счет использования частных резервов времени отдельных некритических работ. Если до этого резервы времени были частично уже использованы в процессе предшествующей оптимизации, то предварительно проверяется, как это отразилось на распределении данного материала, после чего он перераспределяется уже в пределах оставшихся частных резервов времени и с учетом ограничений
Рассмотрим пример по распределению сборного железобетона (рис.14).
| Код работы | До оптимизации | Q Тыс. куб. м. | Распределение сборного железобетона при ограниченной мощности завоза (3тыс.куб.м. в неделю) | ||||||||||||||||
| T недель | r | ||||||||||||||||||
| 1-2 1-3 2-3 2-4 3-4 3-5 4-5 4-6 5-6 | Итого | 2.4 9.6 - 4.8 | 1/2 2/0 | 2/1 1/0 | 2/1 1/0 | 2/1 1/0 | 2/1 1/0 | 0.4/2.6 1.6/1 1/0 | 0.4/2.6 1.6/1 1/0 | 0.4/2.6 1.6/1 1/0 | 0.4/2.6 1.6/1 1/0 | 0.4/2.6 1.6/1 1/0 | 0.4/2.6 1.6/1 1/0 | 1.8/1.2 1.2/0 | 1.8/1.2 1.2/0 | 1.8/1.2 1.2/0 | 1.8/1.2 1.2/0 |
Выполним операцию перераспределения сборного железобетона в табличной форме, весьма удобной для машинной обработки. В левой стороне таблицы проставляются коды работ, продолжительность их выполнения в неделях, частные резервы времени, а также расход сборного железобетона в тыс. куб.м на соответствующий вид работы. Справа вверху фиксируется время в неделях, внизу - возможности завода по поставке железобетонных конструкций (исходя из еженедельного выпуска 3 тыс. куб. м сборного железобетона).
Порядок заполнения таблицы: против каждой работы проставляются два значения в виде дроби. Числитель дроби представляет собой еженедельный расход сборного железобетона в течение всего времени выполнения данной работы (объекта), а знаменатель - оставшуюся часть сборного железобетона, отпускаемого заводом. Полученный остаток не используется для выполнения следующей работы, где в числителе опять записывается потребность, а в знаменателе - новый остаток, и так до тех пор, пока в остатке получится нуль. Это будет свидетельствовать о том, что производственная недельная мощность завода полностью исчерпана.
Из таблицы видно, что для выполнения работ 1-3; 3-4; 4-6 поставляются железобетонные конструкции в точном соответствии с потребностями и в установленные сроки, так как эти работы критические. Для других работ возможны передвижки в сроках поставки за счет имеющихся резервов времени.
Срок выполнения работы 2-3 увеличиваем до четырех недель, чтобы на ее выполнение еженедельно расходовать не более 1 тыс. куб. м железобетона, т. е. того количества, которое соответствует оставшейся неиспользованной мощности завода. Работу 2-4 начинать одновременно с работой 2-3 (как это предусмотрено графиком) нельзя, так как это для ее выполнения уже не хватает материала; начать ее можно только после окончания работ 1 - 2 и 2 - 3. Это возможно, т. к. работа 2-4 имеет резерв времени 8 недель.
Чтобы обеспечить сборным железобетоном критическую работу 3.-4, на выполнение которой еженедельно требуется 1,6 тыс. куб. м, сокращается расход по некритическим работам (2-4и 3-5) в пределах имеющихся частных резервов времени.
Аналогичный расчет проводится по всем работам. Неиспользованный остаток сборного ж / б за последнюю неделю (1,2 тыс. куб. м) может быть использован для выполнения других работ.
Для получения сведений о поставках железобетонных изделий дифференцированно по видам и маркам составляют номенклатурную ведомость по работам, предусмотренным сетевым графиком.(табл.7).
Стадия оперативного управления разработками начинается с момента утверждения исходного сетевого плана после его корректирования и кончайся завершением всех работ.
Задачей оперативного управления является оценка создавшейся ситуации, контроль за фактическим состоянием работ, выявление и анализ возникающих изменений, корректирование плана графика и перераспределение ресурсов. Оперативность управления разработкой во многом зависит от постановки службы информации. Объем информации, ее содержание должны дифференцироваться применительно к различным уровням руководства, информация должна быть предельно четкой.
При использовании ЭВМ все данные исходного плана, а также поступившая за прошлые периоды информация хранятся в памяти машины. Это значительно сокращает поток входной информации и затраты времени ответственных исполнителей на ее составление. По существу исполнитель сообщает сведения об оставшейся продолжительности по каждой работе на данный отчетный период.
Периодичность информации о ходе работ принимается разная в зависимости от степени оперативности управления работами, чаще всего неделя или 10 дней. Очередная информация о ходе выполнения разработки подготавливается и представляется в планирующий центр ответственными исполнителями обычно за два дня до окончания текущей недели или декады. При этом соблюдается правило, что по каждой группе работ информацию дает только один исполнитель. Информация, представленная ответственными исполнителями, должна содержать сведения не только о состоянии уже выполненных работ и непосредственно следующих за ними, но также и сведения о предполагаемых изменениях в характере и ходе работ.
Вся передаваемая информация дается в закодированном виде и используется для:
пересмотра сети вследствие уточнения отдельных деталей разработки, которые не были ясны при составлении исходного плана. В связи с этим возможно появление новых работ и событий, изменение взаимосвязей и топологии сети (отсюда гибкость графика применительно к возникающим изменениям в технологическом процессе);
пересмотра временных оценок, так как по ходу работ возможно их изменение и уточнение в связи с возникновением непредвиденных обстоятельств, например, поломка машины;
3) изменения сроков поставки в связи с дополнительными сообщениями
поставщиков по ходу выполнения работ на строительстве объекта;
4) полного или частичного завершения тех или иных видов работ.
В информации важно передать не только сам факт задержки выполнения работы, но и ее причину.
Для нормального процесса управления необходима своевременная передача информации, поэтому в первую очередь создается система связи, как один из важных элементов управления.
Минимальный объем выходной информации, как правило, включает служба СПУ:
а) показатели по работам (все ранние и поздние сроки их начала и свершения в
рабочих днях и календарных датах и все виды резервов);
б) перечень работ критического пути и критической зоны;
в) сроки свершения важнейших событий и конечного события.
Выходная информация, полученная из вычислительного центра службой СПУ, должна быть доведена до сведения всех заинтересованных лиц. Обычно используют три степени детализаций Информации, каждая из которых соответствует определенному уровню руководства.
Ответственные исполнители получают наиболее детальную информацию, позволяющую им оценить состояние каждого из закрепленных за ними участков работ и его положение в сети общего комплекса.
Руководители организаций-смежников получают информацию, позволяющую дать общую оценку состояния закрепленных за данной организацией частей общего комплекса работ. Она содержит наиболее подробные сведения по граничным событиям, которыми определяются связи данной организации с другими организациями, а также сведения о работах данной организации, попавших на критический путь или в критическую зону.
Руководители отделов и организаций получают детальную информацию только по работам критической зоны. Остальная информация дается укрупнено по наиболее важным элементам, этапам, граничным событиям.
Такое построение выходной информации позволяет сосредоточивать внимание на наиболее трудных участках.
После получения преобразованной информации о ходе разработки наступает наиболее ответственный этап оперативного управления - обновление сетевого графика, его корректирование, нахождение в необходимых случаях новых решений, обеспечивающих выполнение работ в заданные сроки.
Корректирование первичных сетевых графиков осуществляют ответственные исполнители; частных сетевых графиков - служба СПУ организаций - смежников; сводный сетевой график - центральная служба СПУ.
Обновление сетевого графика заключается в изменении критического пути и резервов времени, во введении дополнительных и в возможном -аннулировании некоторых старых работ, в изменении временных оценок и взаимосвязей.
Обновление сети неизбежно, так как нельзя полностью предвидеть ход работ на весь период производства.
Возникающие отклонения от исходного плана следует рассматривать как
закономерное явление. Однако, чем тщательнее будет составлен исходный сетевой график, тем меньше от него будет отличаться последующий, который надо рассматривать не как график-прогноз (прогноз - научно-обоснованный).
Но основе анализа данных обработанного сетевого графика намечаются
рекомендации для принятия решения. Подготовленные мероприятия обсуждаются на оперативных совещаниях при головном разработчике, где утверждаются принятые решения, на основе которых каждому ответственному исполнителю выдают план -задание. На оперативные совещания, где рассматриваются, главным образом, отклонения от первоначального плана, обычно вызывают исполнителей и представителей организаций /-/смежников, работы которых находятся в критической зоне.
Преимущества сетевого планирования и управления производством.
1.Этот метод позволяет увязать во времени производство работ, входящих в замкнутый комплекс.
Под комплексом в этом случае понимается совокупность последовательно и параллельно выполняемых работ, направленных на достижение единой цели.
Метод СПУ дает возможность заранее планировать последовательность и взаимозависимость работ, входящих в большие и сложные комплексы, следить за выполнением каждой работы в отдельности, выявлять и устранять все появляющиеся в ходе процесса задержки. Этот метод позволяет руководителям комплексов уже во время составления графика находить скрытые резервы и намечать их использование для выполнения всех работ в кратчайший срок и получения максимальной экономии ресурсов при заданном сроке исполнения.
Таким образом, первым результатом использования этого метода является получение детализованного графика выполнения отдельных работ как части целого.
2. Вторым результатом использования метода сетевого планирования является возможность получить данные о необходимых ресурсах на выполнение как каждой работы в отдельности, так и всего комплекса в целом. Все эти данные могут быть легко определены на каждый момент времени. Таким образом, информация, получаемая с помощью метода сетевого планирования в части материальных ресурсов. может лечь в основу плана материально/- (технического снабжения. Данные, касающиеся трудовых ресурсов, дают исчерпывающий материал для составления плана по труду и графика движения рабочей силы. Эти показатели дают возможность получить данные не только о численности рабочих, но и об их профессионально - квалификационном составе.
Кроме того, информация, используемая в методе сетевого планирования, позволяет получить данные о количествах, марках и типа используемою оборудования, а также характеристику его загрузки.
13. Метод сетевого планирования позволяет дать ответ на принципиально новый вопрос: от каких видов работ и в какой степени зависят сроки завершения всего комплекса. Существовавшие до недавнего времени способы координации работ не давали ответа на этот вопрос, причем существовало, да и сейчас существует мнение, будто перевыполнение плана по каждой из работ, образующих взаимоувязанный комплекс, одинаково важно для скорейшего осуществления всего комплекса.
Метод сетевого планирования позволяет совершенно по-новому подойти к решению этой проблемы не только с качественной, но и с количественной стороны, указать те работы, от выполнения которых в первую очередь зависит время выполнения всего комплекса; в то же время представляется возможным выделить менее важные, второе тененные с точки зрения данного комплекса и поставленной цели работы, сокращение продолжительности которых не только не уменьшает время выполнения всего комплекса, но может привести к таким нежелательным последствиям, как увеличение стоимости работ, простои рабочей силы, механизмов и т. п.
Таким образом, метод сетевого планирования позволяет получить экономически обоснованные ответы на самые важные вопросы, возникающие при координации нескольких взаимосвязанных работ. 7 4. Следует отметить, что получение такого рода информации в принципе возможно и на основе существующих методов координации, однако это сопряжено со значительными затратами времени и труда, что практически сводит такую возможность на нет. Значительное преимущество метода состоит в том, что он не только позволяет применять для расчетов электронные вычислительные машины, но и специально создан в расчете на их самое широкое использование, далеко выходящее за рамки простых арифметических расчетов. Трудно предположить, что составленный и обсчитанный план координации отдельных работ будет действовать в течение всего времени выполнения комплекса.
Как правило, в процессе производства по тем или иным причинам изменяются сроки выполнения отдельных работ. В этом случае при обычных методах координации требуется заново производить все расчеты. При использовании метода сетевого планирования появляется возможность оперативно рассчитывать все изменения, возникающие в координируемой системе, вводя в ЭВМ только данные о происшедших изменениях.
Таким образом, появляется.возможность организовать диспетчеризацию координируемых работ на высоком техническом уровне, что особенно важно в системах большого размера. ^ 5. Сетевой график обеспечивает непрерывное планирование и управление ходом работ, является более наглядным, компактным и удобным для оперативной работы.
При очередном анализе график автоматически учитывает влияние изменений в ходе работ на конечный срок строительства.
Статья II. Организационно-техническая подготовка строительства
СНиП 3.01.01-85 (95)
Организация строительного производства должна обеспечивать целенаправленность всех организационных, технических и технологических решений на достижение конечного результата — ввода в действие объекта с необходимым качеством и в установленные сроки.
Строительство каждого объекта допускается осуществлять только на основе предварительно разработанных решений по организации строительства и технологии производства работ, которые должны быть приняты в проекте организации строительства и проектах производства работ. Состав и содержание проектных решений и документации в проекте организации строительства и проектах производства работ определяются в зависимости от вида строительства и сложности объекта строительства в соответствии с указаниями разд. 3.
Строительство объекта следует организовывать с учетом целесообразного расширения технологической специализации в выполнении строительно-монтажных работ, применения в строительстве комбинированных организационных форм управления, основанных на рациональном сочетании промышленного и строительного производства.
При организации строительного производства должны обеспечиваться:
согласованная работа всех участников строительства объекта с координацией их деятельности генеральным подрядчиком, решения которого по вопросам, связанным с выполнением утвержденных планов и графиков работ, являются обязательными для всех участников независимо от ведомственной подчиненности;
комплектная поставка материальных ресурсов из расчета на здание, сооружение, узел,- участок, секцию, этаж, ярус, помещение в сроки, предусмотренные календарными планами и графиками работ;
выполнение строительных, монтажных и специальных строительных работ с соблюдением технологической последовательности и технически обоснованного совмещения;
соблюдение правил техники безопасности;
соблюдение требований по охране окружающей природной среды.
До начала выполнения строительно-монтажных работ, в том числе подготовительных, работ на объекте заказчик обязан получить в установленном порядке разрешение на выполнение строительно-монтажных работ. Выполнение работ без указанного разрешения запрещается.
Строительство должно вестись в технологической последовательности в соответствии с календарным планом (графиком) с учетом обоснованного совмещения отдельных видов работ. Выполнение работ сезонного характера (включая отдельные виды подготовительных работ) необходимо предусматривать в наиболее благоприятное время года в соответствии с решениями, принятыми в проекте организации строительства.
К основным работам по строительству объекта или его части разрешается приступать только после отвода в натуре площадки (трассы) для его строительства, устройства необходимых ограждений строительной площадки (охранных, защитных или сигнальных) и создания разбивочной геодезической основы. До начала возведения зданий и сооружений необходимо произвести срезку и складирование используемого для рекультивации земель растительного слоя грунта в специально отведенных местах, вертикальную планировку строительной площадки, работу по водоотводу, устройство постоянных и временных внутриплощадочных дорог и инженерных сетей (канализации, водо-, тепло-, энергоснабжения и др.), необходимых на время строительства и предусмотренных проектами организации строительства и проектами производства работ.
Запрещается начинать работы по возведению надземных конструкций здания (сооружения) или его части (секции, пролета, яруса, участка, за хватки и т.д.) до полного окончания устройства подземных конструкций и обратной засыпки котлованов, траншей и пазух с уплотнением грунта до плотности его в естественном состоянии или заданной проектом (за исключением подземных конструкций, возведение которых проектами производства работ предусмотрено в другие сроки).
В тех случаях, когда строительная площадка расположена на территории, подверженной воздействию неблагоприятных природных явлений и геологических процессов (сели, лавины, оползни, обвалы, заболоченность, подтопление и др.) после создания геодезической разбивочной основы до начала выполнения внутриплощадочных подготовительных работ должны быть выполнены по специальным проектам первоочередные мероприятия и работы по защите территории от указанных процессов.
Подготовка строительного производства
Организационно-техническая подготовка должна включать: обеспечение стройки проектно-сметной документацией, отвод в натуре площадки (трассы) для строительства, оформление финансирования строительства, заключение договоров подряда и субподряда на строительство, оформление разрешений и допусков на производство работ, решение вопросов о переселении лиц и организаций, размещенных в подлежащих сносу зданиях, обеспечение строительства подъездными путями, электро-, водо- и теплоснабжением, системой связи и помещениями бытового обслуживания кадров строителей, организацию поставки на строительство оборудования, конструкций, материалов и готовых изделий.
Подготовка к строительству каждого объекта должна предусматривать изучение инженерно-техническим персоналом проектно-сметной документации (включая документацию по результатам технического обследования конструкций при реконструкции действующего предприятия), детальное ознакомление с условиями строительства, разработку проектов производства работ на внеплощадочные и внутриплощадочные подготовительные работы, возведение зданий, сооружений и их частей, а также выполнение самих работ подготовительного периода с учетом природоохранных требований и требований по безопасности труда.
Внеплощадочные подготовительные работы должны включать строительство подъездных путей и причалов, линий электропередач с трансформаторными подстанциями, сетей водоснабжения с водозаборными сооружениями, канализационных коллекторов с очистными сооружениями, жилых поселков для строителей, необходимых сооружений по развитию производственной базы строительной организации, а также сооружений и устройств связи для управления строительством.
Внутриплощадочные подготовительные работы должны предусматривать сдачу-приемку геодезической разбивочной основы для строительства и геодезические разбивочные работы для прокладки инженерных сетей, дорог и возведения зданий и сооружений, освобождение строительной площадки для производства строительно-монтажных работ (расчистка территории, снос строений и др.), планировку территории, искусственное понижение (в необходимых случаях) уровня грунтовых вод, перекладку существующих и прокладку новых инженерных сетей, устройство постоянных и временных дорог, инвентарных временных ограждений строительной площадки с организацией в необходимых случаях контрольно-пропускного режима, размещение мобильных (инвентарных) зданий и сооружений производственного, складского, вспомогательного. бытового и общественного назначения, устройство складских площадок и помещений для материалов, конструкций и оборудования, организацию связи для оперативно-диспетчерского управления производством работ, обеспечение строительной площадки противопожарным водоснабжением и инвентарем, освещением и средствами сигнализации.
В подготовительный период должны быть также возведены постоянные здания и сооружения, используемые для нужд строительства, или приспособлены для этих целей существующие.
Подготовка к строительству сложного и уникального объекта должна включать работы по организации режимных наблюдений (сейсмометрических, гидрогеологических, гидрологических, геохимических, геодезических, маркшейдерских, метеорологических, тензометрических, гляциологических, мерзлотных и др.) по специальным программам, а также создание, при необходимости, испытательных полигонов, метрологических пунктов и измерительных станций. Программы исследовательских работ, испытаний конструкций и элементов сооружений и режимных наблюдений должны разрабатываться заказчиком и генеральной проектной организацией одновременно с разработкой проектов организации строительства и проектов производства работ.
При подготовке к производству строительно-монтажных работ должно быть разработаны проекты производства работ, переданы и приняты закрепленные на местности знаки геодезической разбивки по частям зданий (сооружений) и видам работ;
Роль и значение подготовки строительного производства.
Современное строительное производство, особенно при возведении крупных промышленных предприятий и их частей требует огромных затрат ресурсов.
В условиях возрастающей сложности и углубления специализации строительства, непрерывного совершенствования технологии, средств, методов организации и управлении, особое значение приобретает качественная подготовка строительного производства (ПСП).
ПСП, охватывает широкий круг вопросов, зависит от многих факторов: номенклатуры, сложности объекта, принадлежности зданий и сооружений к отрасли материального производства, мощности строительной организации, уровня специализации.
ПСП в общем объёме строительства любого объекта составляет 14-17 процентов от сметной стоимости, 16-19 от общей трудоёмкости и 14-20 пр. от продолжительности.
Под ПСП понимает комплекс взаимоувязанных организационных, технических, планово-экономических и финансовых документов и мероприятий необходимых для обеспечения выполнения запланированных строительных программ.
Задача ПСП строительной организации заключается
Проводится в три этапа: