Аналитически-исследовательский метод установления норм труда

Норма времени обслуживания

tн.о = tн × Q × kд,

где tн — норма времени на единицу объема работы, мин.;
Q — количество единиц объема работы, выполняемых в течение заданного календарного периода (условные единицы оборудования);
kд — коэффициент дополнительных функций данной категории рабочих, неучтенных нормой (например, функции учета, инструктажа и т.д.).

Этот метод основан на изучении затрат рабочего времени путем наблюдений и включает в себя:

- непосредственное измерение величин времени (хронометраж и фотография рабочего дня);
- фотографирование методом моментных наблюдений.

Хронометраж — метод изучения затрат рабочего времени многократно повторяющихся ручных и машинно-ручных элементов операций путем их измерения.

Используется (в основном) в крупносерийном и массовом производствах для установления действующих норм, и проверки норм установленных расчетным путем. Объектом исследования является операция, а его целью — установление основного и вспомогательного времени или затрат времени на отдельные трудовые приемы.

Хронометраж бывает сплошным и выборочным. При сплошном хронометраже его объектом являются все элементы оперативного времени, а при выборочном — измеряются отдельные элементы оперативного времени или технологической операции.

Процесс хронометража включает в себя три этапа:

- подготовку к наблюдению;
- хронометрирование;
- анализ полученных данных.

Подготовка к наблюдению состоит:

- из выбора рабочего места для хронометрирования;
- расчленения операции на составляющие элементы (переходы, приемы);
- определение фиксажных точек элементов операции, т.е. моментов времени, указывающих на начало элемента операции (начальная фиксажная точка) и конец его (конечная фиксажная точка);
- установление важнейших факторов, влияющих на продолжительность каждого элемента;
- установление необходимого количества замеров;
- подготовка документации.

Хронометрирование — измерение элементов изучаемой операции с записью в хронометражную карту.

Анализ полученных данных

Полученный ряд замеров называется хронометражным рядом, который характеризуется коэффициентом устойчивости (bуст):

,

где tmax и tmin — соответственно максимальная и минимальная продолжительность замера.

Время t продолжительности операции или ее отдельных частей определяется как среднеарифметическая хроноряда:

,

где ti — время i-го замера;
n — число замеров.

Фотография рабочего дня — это наблюдение, проводимое для изучения всех затрат рабочего времени в течение смены или ее части. Они могут быть индивидуальными, групповыми, бригадными и т.п.

Цель фотографии:

- выявление потерь рабочего времени;
- установление причин потерь;
- разработка мероприятий устранения потерь;
- получение данных для создания нормативов времени и численности рабочих.

Этапы фотографии рабочего дня аналогичны этапам хронометража.

Метод моментных наблюдений позволяет определить величину затрат рабочего времени не прибегая к их непосредственному измерению. Он применяется при наблюдении за большим количеством объектов. Метод основан на использовании положений теории вероятностей, а его сущность состоит в замене непрерывной фиксации времени при непосредственных замерах (обычные фотографии) учетом количества наблюдаемых моментов.

Полученные данные позволяют определить удельный вес и абсолютные значения затрат времени по элементам.

Этапы техники моментных наблюдений:

- подготовка к наблюдениям;
- проведение моментных наблюдений;
- анализ полученных результатов.

Подготовка к наблюдениям включает:

- подготовка документации;
- классификацию элементов затрат рабочего времени и их индексацию (цифра, буква, условный знак);
- определения фиксажных пунктов, т.е. постоянные места фиксирования состояния объекта изучения (рабочего, оборудования);
- определение количества наблюдений (n набл.) в зависимости от типа производства;
- составление схемы маршрута обхода рабочих мест (кольцевой, маятниковый, комбинированный);
- определение продолжительности одного обхода;
- установление количества обходов в смену и число дней наблюдений;
- составление графика обходов и таблицы измерений.

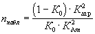
Количество наблюдений можно определить по формуле

,

где Kо — наименьший удельный вес элемента в балансе рабочего дня, необходимый для анализа результатов;
Kдоп = D р/Ко — допустимая ошибка окончательных результатов;
D р — интервал рассеяния величины;
Кгар = D р/б — гарантийный коэффициент, показывающий, сколько раз среднеквадратическая ошибка укладывается в половине интервала рассеяния D р.

Если при проведении наблюдений исследуются несколько или все элементы затрат времени, то величину n набл. определяют по тем затратам, удельный вес которых меньше или требуемая точность которых выше.

Моментные наблюдения проводятся путем обхода участка, где расположены рабочие места исполнителей, по определенному маршруту. Поравнявшись с рабочим местом, наблюдатель определяет, чем занят рабочий, и фиксирует результат в бланке с помощью условных обозначений.

Полученные данные наблюдений обрабатываются и вносятся в сводную таблицу и анализируются.





Подборка статей по вашей теме: