При работе по принципу полной взаимозаменяемости производится расчет размерных цепей на максимум-минимум, учитывающий только предельные отклонения звеньев исамые неблагоприятные их сочетания. Расчет на максимум-минимум начинается с построения размерной цепи,определяющей размерные связи рассматриваемого сборочного соединения.

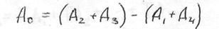
При решении задачи используется уравнение размерной цени, выражающее зависимость номинального размера замыкающегозвена
от номинальных размеров составляющих звеньев в виде:

или в общем виде для любого числа звеньев линейной размерной цепи:

где m - общее количество звеньев цепи, включая замыкающее звено;
n - количество увеличивающих звеньев.
Тогда можно записать:

где
- увеличивающий размер составляющего звена;
- уменьшающий размер составляющего звена.
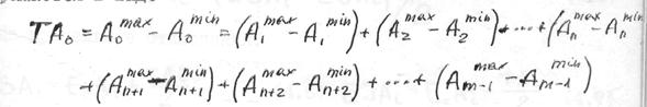
Наибольший предельный размер замыкающего звена линейной размерной цепи:

Наименьший предельный размер замыкающего звена:

Разность наибольшего и наименьшего предельных размеров замыкающего звена определяет величину его допуска, который выражается в виде:
|
|
|

При замене выражений, находящихся в скобках, соответствующими допусками получается формула для определения допуска замыкающего звена линейной размерной цепи.

Верхнее предельное отклонение замыкающего звена
и нижнее предельное отклонение
линейной размерной цепи могут быть определены по формулам, приведенным ниже, которые получаются после вычитания номинального размера замыкающего звена
из его наибольшего
и наименьшего
предельных отклонений:

Предельные отклонения
и
размера замыкающего звена могут быть определены и по значениям координаты середины поля допуска 
Координатой середины поля допуска
-го звена
называется расстояние середины поля допуска размера этого звена до его номинального значения.

Тогда предельные отклонения:

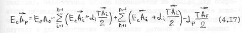
Координата середины поля допуска или середины поля рассеяния размера замыкающего звена линейной размерной цепи определяется формулой

Зная эти уравнения, можно производить пробные расчеты допусков размеров составляющих звеньев по величине допуска размера замыкающего звена.
Основными достоинствами метода расчета на максимум-минимум, обеспечивающего полную взаимозаменяемость деталей и сборочных единиц, являются:
а) простота, высокая производительность иэкономичность сборки изделий, сводящейсяв этом случае только к соединению и фиксации отдельных деталей и не требующей высокой квалификации рабочих;
б) простота нормирования сборочных операций, ихсинхронизации во времени и организации поточной сборки;
в) возможность специализации икооперирования предприятий по выпуску деталей и сборочныхединиц;
|
|
|
г) сокращение простоев машин при их ремонте и упрощение ремонта в связи с возможностью быстрой замены изношенных деталей новыми без пригонки к регулирования.
Крупнейшимнедостатком метода расчета на максимум-минимум является необходимость ужесточения допусков составляющих звеньев пропорционально их количеству, в соответствии с формулой:

где
- величина среднего допуска.
При большом числе звеньев допуски составляющих размеров получаются чрезвычайно жесткими и во многих случаяхэкономически невыполнимы. В этом случае сочетание при сборке всех увеличивающих размеров с верхними предельными отклонениямис уменьшающими размерами, изготовленными с нижнимипредельными отклонениями (и наоборот), маловероятно, а при значительном числе составляющих звеньев - практически невозможно.
По расчетам проф. Н.А. Бородачева,при равной вероятности получения составляющих звеньев с размерами, соответствующими любым точкам полей их допусков, вероятность наихудших сочетаний размеров у десятизвенной цепи составляет: 0,0000000000002. Это значит, что если предприятие ежедневно выпускает по 1 млн. комплектов, то крайние сочетания размеров, рассчитанных по максимуму и минимуму, будут встречаться в среднем один раз в 10.000-15.000 лет. В связи с этим расчет да максимум и минимум должен применяться лишь для коротких размерных цепей, имеющих два - три составляющих звена.
4.3. Вероятностный метод (неполной взаимозаменяемости)
При расчете размерных цепей с числом составляющих звеньев более трех целесообразно принять в основу достижения точности метод неполной взаимозаменяемости с использованием вероятностного расчета.
При использований метода неполной взаимозаменяемостн требуемая точность обеспечивается у заранее обусловленной части объектов путем включения в размерную цепь составляющих звеньев без их выбора, подбора или изменения значений.
Расчет вероятностным методом, осуществляемый в этом случае, производится с учетомфактического распределения истинных размеров внутри полей, их допусков и вероятности их различных сочетаний при сборке имеханической обработке.
Рассмотрим расчет поля рассеяния (допуска) замыкающего звена вероятностным методом. В соответствии с положениями теориивероятностей суммирование случайных величин производится квадратически, причем сумма этих величин, в свою очередь, представляет собой случайную величину, изменяющуюся по определенному закону распределения. При этом законраспределения размеров замыкающего звена тем ближе к законунормального распределения, чем больше составляющих звеньев имеет размерная цепь.
Наименьшее количество составляющих звеньев (m-1), вкотором происходит распределение размеров замыкающего вена по закону нормального распределения, составляет при распределении составляющих размеров цепи по законам:
- равной вероятности (m-1) =4
- равнобедренного треугольника (закону Симпсона) (m-1) =3;
- нормального распределения (m-1) = 2.
В практических условиях (особенно при проектных расчетах)
законы распределения составляющих звеньев часто неизвестны, поэтому применение вероятностного метода расчета считается правильным при числе составляющих звеньев размерной цепи
С учетом сказанного, поле рассеяния замыкающего звена
или его допуск
определяется по формуле:

где
- коэффициент риска, характеризующий вероятность выхода отклонений замыкающего звена за пределы допуска (нормированный параметр распределения). В этой формуле принято, что поля рассеяния размеров составляющих звеньев
равны допускам на их изготовление
.
Несмотря на то, что ветви кривой нормального распределения уходят в бесконечность, при практических расчетах поле рассеяния ограничивается некоторыми пределам, зависящими от величины среднего квадратического
равными
т.е.
|
|
|

- среднее арифметическое значение случайной величины;
- поле рассеяния случайной величины;
- нормированный параметрраспределения,
или коэффициент риска.
Графически сказанное выглядит так:

Вероятностный расчет размерных цепей обычно производится в случаях, когда число их составляющих звеньев
, т.е. когда распределение размеров замыкающего звена подчиняется закону нормального распределения независимо от законов распределения составляющих звеньев. При этом принимается
, когда процент риска выхода за пределы допуска составляет 0,27 %. Практически в этом случае количество сборочных соединений или деталей, выходящих за пределы допуска, не превышает 3 шт. на 1000 шт. изделий.
Относительное среднее квадратическое отклонение, характеризующее закон рассеяния размеров составляющих размеров ели отклонений, определяется по формуле:

Величина коэффициента
составляет
- для закона нормального распределения.........1/9
-"- Симпсона........................1/6
-"- равной вероятности................1/3
При вычислении предельных значений замыкающего звена вероятностным методом имеет значение симметричность расположения размеров составляющих звеньев внутри их полей рассеяния (или внутриполей их допусков).
При симметричном расположении размеров составляющих звеньев
- координата середины паяя рассеяния замыкающего звена
и координата середины поля допуска
определяются по формуле (4.10). Затем рассчитываются значения предельных отклонений замыкающего звена

При несимметричном расположении размеров составляющих звеньев центры их группирования и середины полей допусков не совпадают друг с другом.
Координата центра группирования
(математическое ожидание отклонений) составляющего звена линейной размерной цепи определяется формулами:

где значения
находятся в пределах 0 до + 0,5 и определяются опытным путем.
Сопоставление результатов расчетов показывает, что поле рассеяния (допуск) замыкающего звена, вычисленное вероятностным методом, в 0,75/0,477 = 1,57 раза меньше поля рассеяния (допуска), рассчитанного на максимум и минимум. Соответственно изменяются и предельные отклонения размеров замыкающего звена.
|
|
|
Расчет допусков составляющих звеньев
Допуски размеров составляющих звеньев при расчете размерных цепей вероятностным методом определяются принципиально так же, как и при их расчете на максимум и минимум. Различия сводятся в основном к замене арифметического суммирования геометрическим.
Расчет начинается с определения величины среднего допуска составляющих звеньев. При этом используется следующая формула

Если по результатам расчета средняя точность размеров составляющих звеньев соответствует 11-му или 12-му квалитету, то метод неполной взаимозаменяемости считается подходящим для решения данной размерной цепи, и определенный в результате расчета квалитет принимается в основу для установления допусков размеров всех составляющих звеньев, кроме регулирующего.
Если по расчетам требуемая средняя точность размеров составляющих звеньев характеризуется 7-9-м квалитетами, то достижение требуемой точности замыкающего звена методом неполной взаимозаменяемости является невозможным, что делает необходимым использование метода регулирования, или пригонки.
При установлении расчетом необходимости обеспечения точности
размеров составляющих звеньев в пределах 10-го квалитета вопрос о возможности ее достижения должен решаться путем дополнительного анализа технологических особенностей изготовления деталей, входящих в данную размерную цепь.
В качестве регулирующего звена рекомендуется выбирать звено с наибольшим номинальным размером, выполнение и измерение которого не вызывает технологических трудностей.
На все размеры рассчитываемой цепи назначаются допуски по h и Н установленного квалитета точности.
При необходимости производят выбор и расчет допуска регулирующего звена по формуле

где
- коэффициент относительного рассеяния размера регулирующего звена.
Координата середины поля допуска размера регулирующего звена
определяется по следующим формулам: - при увеличивающем регулирующем звене

при уменьшающем регулирующем звене

Предельные отклонения размера регулирующего звена находятся так же, как ипри расчете на максимум-минимум.
Сопоставления методов показывает, что применения вероятностного метода расчета позволяет существенно расширить допуски на обработку заготовок по сравнению с допусками, устанавливаемыми расчетом на максимум-минимум.






