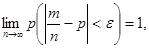
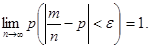
Теорема 13.3 (теорема Бернулли). Если в каждом из п независимых опытов вероятность р появления события А постоянна, то при достаточно большом числе испытаний вероят-ность того, что модуль отклонения относительной частоты появлений А в п опытах от р будет сколь угодно малым, как угодно близка к 1:
(13.2)
Доказательство. Введем случайные величины Х 1, Х 2, …, Хп, где Xi – число появлений А в i -м опыте. При этом Xi могут принимать только два значения: 1(с вероятностью р) и 0 (с вероятностью q = 1 – p). Кроме того, рассматриваемые случайные величины попарно независимы и их дисперсии равномерно ограничены (так как D (Xi) = pq, p + q = 1, откуда pq ≤ ¼). Следовательно, к ним можно применить теорему Чебышева при Mi = p:
.
Но
, так как Xi принимает значение, равное 1, при появлении А в данном опыте, и значение, равное 0, если А не произошло. Таким образом,

что и требовалось доказать.
Замечание. Из теоремы Бернулли не следует, что
Речь идет лишь о вероятно-сти того, что разность относительной частоты и вероятности по модулю может стать сколь угодно малой. Разница заключается в следующем: при обычной сходимости, рассматриваемой в математическом анализе, для всех п, начиная с некоторого значения, неравенство
выполняется всегда; в нашем случае могут найтись такие значения п, при которых это неравенство неверно. Этот вид сходимости называют сходимостью по вероятности.
|
|
|






