Основные свойства статистических характеристик параметров распределения: несме-щенность, состоятельность, эффективность. Несмещенность и состоятельность выборочного среднего как оценки математического ожидания. Смещенность выборочной дисперсии. Пример несмещенной оценки дисперсии. Асимптотически несмещенные оценки. Способы построения оценок: метод наибольшего правдоподобия, метод момен-тов, метод квантили, метод наименьших квадратов, байесовский подход к получению оценок.
Лекция 17.
Получив статистические оценки параметров распределения (выборочное среднее, выбороч-ную дисперсию и т.д.), нужно убедиться, что они в достаточной степени служат приближе-нием соответствующих характеристик генеральной совокупности. Определим требования, которые должны при этом выполняться.
Пусть Θ* - статистическая оценка неизвестного параметра Θ теоретического распределения. Извлечем из генеральной совокупности несколько выборок одного и того же объема п и вычислим для каждой из них оценку параметра Θ:
Тогда оценку Θ* можно рассматривать как случайную величину, принимающую возможные значения
Если математическое ожидание Θ* не равно оцениваемому параметру, мы будем получать при вычислении оценок систематические ошибки одного знака (с избытком, если М (Θ*) >Θ, и с недостатком, если М (Θ*) < Θ). Следовательно, необходимым условием отсутствия систе-матических ошибок является требование М (Θ*) = Θ.
|
|
|
Определение 17.2. Статистическая оценка Θ* называется несмещенной, если ее математичес-кое ожидание равно оцениваемому параметруΘ при любом объеме выборки:
М (Θ*) = Θ. (17.1)
Смещенной называют оценку, математическое ожидание которой не равно оцениваемому параметру.
Однако несмещенность не является достаточным условием хорошего приближения к истин-ному значению оцениваемого параметра. Если при этом возможные значения Θ* могут значительно отклоняться от среднего значения, то есть дисперсия Θ* велика, то значение, найденное по данным одной выборки, может значительно отличаться от оцениваемого параметра. Следовательно, требуется наложить ограничения на дисперсию.
Определение 17.2. Статистическая оценка называется эффективной, если она при заданном объеме выборки п имеет наименьшую возможную дисперсию.
При рассмотрении выборок большого объема к статистическим оценкам предъявляется еще и требование состоятельности.
Определение 17.3. Состоятельной называется статистическая оценка, которая при п →∞ стре-мится по вероятности к оцениваемому параметру (если эта оценка несмещенная, то она будет состоятельной, если при п →∞ ее дисперсия стремится к 0).
|
|
|
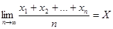
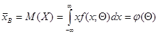
Убедимся, что
представляет собой несмещенную оценку математического ожидания М (Х).
Будем рассматривать
как случайную величину, а х 1, х 2,…, хп, то есть значения исследуемой случайной величины, составляющие выборку,– как независимые, одинаково распределенные случайные величины Х 1, Х 2,…, Хп, имеющие математическое ожидание а. Из свойств математического ожидания следует, что

Но, поскольку каждая из величин Х 1, Х 2,…, Хп имеет такое же распределение, что и генеральная совокупность, а = М (Х), то есть М (
) = М (Х), что и требовалось доказать. Выборочное среднее является не только несмещенной, но и состоятельной оценкой математического ожидания. Если предположить, что Х 1, Х 2,…, Хп имеют ограниченные дисперсии, то из теоремы Чебышева следует, что их среднее арифметическое, то есть
, при увеличении п стремится по вероятности к математическому ожиданию а каждой их величин, то есть к М (Х). Следовательно, выборочное среднее есть состоятельная оценка математического ожидания.
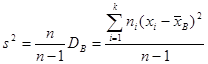
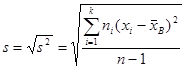
В отличие от выборочного среднего, выборочная дисперсия является смещенной оценкой дисперсии генеральной совокупности. Можно доказать, что
, (17.2)
где DГ – истинное значение дисперсии генеральной совокупности. Можно предложить другую оценку дисперсии – исправленную дисперсию s ², вычисляемую по формуле
. (17.3)
Такая оценка будет являться несмещенной. Ей соответствует исправленное среднее квадратическое отклонение
. (17.4)
Определение 17.4. Оценка некоторого признака называется асимптотически несмещенной, если для выборки х 1, х 2, …, хп
, (17.5)
где Х – истинное значение исследуемой величины.
1. Метод наибольшего правдоподобия.
Пусть Х – дискретная случайная величина, которая в результате п испытаний приняла значения х 1, х 2, …, хп. Предположим, что нам известен закон распределения этой величины, определяемый параметром Θ, но неизвестно численное значение этого параметра. Найдем его точечную оценку.
Пусть р (хi, Θ) – вероятность того, что в результате испытания величина Х примет значение хi. Назовем функцией правдоподобия дискретной случайной величины Х функцию аргумента Θ, определяемую по формуле:
L (х 1, х 2, …, хп; Θ) = p (x 1,Θ) p (x 2,Θ)… p (xn,Θ).
Тогда в качестве точечной оценки параметра Θ принимают такое его значение Θ* = Θ(х 1, х 2, …, хп), при котором функция правдоподобия достигает максимума. Оценку Θ* называют оценкой наибольшего правдоподобия.
Поскольку функции L и ln L достигают максимума при одном и том же значении Θ, удобнее искать максимум ln L – логарифмической функции правдоподобия. Для этого нужно:
1) найти производную
;
2) приравнять ее нулю (получим так называемое уравнение правдоподобия) и найти критическую точку;
3) найти вторую производную
; если она отрицательна в критической точке, то это – точка максимума.
Достоинства метода наибольшего правдоподобия: полученные оценки состоятельны (хотя могут быть смещенными), распределены асимптотически нормально при больших значениях п и имеют наименьшую дисперсию по сравнению с другими асимптотически нормальными оценками; если для оцениваемого параметра Θ существует эффективная оценка Θ*, то уравнение правдоподобия имеет единственное решение Θ*; метод наиболее полно использует данные выборки и поэтому особенно полезен в случае малых выборок.
Недостаток метода наибольшего правдоподобия: сложность вычислений.
Для непрерывной случайной величины с известным видом плотности распределения f (x) и неизвестным параметром Θ функция правдоподобия имеет вид:
L (х 1, х 2, …, хп; Θ) = f (x 1,Θ) f (x 2,Θ)… f (xn,Θ).
Оценка наибольшего правдоподобия неизвестного параметра проводится так же, как для дискретной случайной величины.
|
|
|
2. Метод моментов.
Метод моментов основан на том, что начальные и центральные эмпирические моменты являются состоятельными оценками соответственно начальных и центральных теоретических моментов, поэтому можно приравнять теоретические моменты соответствующим эмпирическим моментам того же порядка.
Если задан вид плотности распределения f (x, Θ), определяемой одним неизвестным параметром Θ, то для оценки этого параметра достаточно иметь одно уравнение. Например, можно приравнять начальные моменты первого порядка:
,
получив тем самым уравнение для определения Θ. Его решение Θ* будет точечной оценкой параметра, которая является функцией от выборочного среднего и, следовательно, и от вариант выборки:
Θ = ψ (х 1, х 2, …, хп).
Если известный вид плотности распределения f (x, Θ1, Θ2) определяется двумя неизвестными параметрами Θ1 и Θ2, то требуется составить два уравнения, например
ν1 = М 1, μ2 = т 2.
Отсюда
- система двух уравнений с двумя неизвестными Θ1 и Θ2. Ее решениями будут точечные оценки Θ1* и Θ2* - функции вариант выборки:
Θ1 = ψ1 (х 1, х 2, …, хп),
Θ2 = ψ2(х 1, х 2, …, хп).
3. Метод наименьших квадратов.
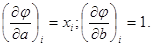
Если требуется оценить зависимость величин у и х, причем известен вид связывающей их функции, но неизвестны значения входящих в нее коэффициентов, их величины можно оценить по имеющейся выборке с помощью метода наименьших квадратов. Для этого функция у = φ (х) выбирается так, чтобы сумма квадратов отклонений наблюдаемых значений у 1, у 2,…, уп от φ(хi) была минимальной:

При этом требуется найти стационарную точку функции φ(x; a, b, c…), то есть решить систему:

(решение, конечно, возможно только в случае, когда известен конкретный вид функции φ).
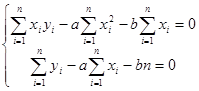
Рассмотрим в качестве примера подбор параметров линейной функции методом наименьших квадратов.
Для того, чтобы оценить параметры а и b в функции y = ax + b, найдем
Тогда
. Отсюда
. Разделив оба полученных уравнения на п и вспомнив определения эмпирических моментов, можно получить выражения для а и b в виде:
. Следовательно, связь между х и у можно задать в виде:
|
|
|

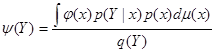
4. Байесовский подход к получению оценок.
Пусть (Y, X) – случайный вектор, для которого известна плотность р (у | x) условного распреде-ления Y при каждом значении Х = х. Если в результате эксперимента получены лишь значения Y, а соответствующие значения Х неизвестны, то для оценки некоторой заданной функции φ(х) в качестве ее приближенного значения предлагается искать условное математическое ожидание М (φ(х)| Y), вычисляемое по формуле:
, где
, р (х) – плотность безусловного распределения Х, q (y) – плотность безусловного распределения Y. Задача может быть решена только тогда, когда известна р (х). Иногда, однако, удается построить состоятельную оценку для q (y), зависящую только от полученных в выборке значений Y.






