Закон больших чисел. Неравенство Чебышева. Теоремы Чебышева и Бернулли.
Лекция 13.
Изучение статистических закономерностей позволило установить, что при некоторых условиях суммарное поведение большого количества случайных величин почти утрачи-вает случайный характер и становится закономерным (иначе говоря, случайные отклоне-ния от некоторого среднего поведения взаимно погашаются). В частности, если влияние на сумму отдельных слагаемых является равномерно малым, закон распределения суммы приближается к нормальному. Математическая формулировка этого утверждения дается в группе теорем, называемой законом больших чисел.
Неравенство Чебышева, используемое для доказательства дальнейших теорем, справед-ливо как для непрерывных, так и для дискретных случайных величин. Докажем его для дискретных случайных величин.
Теорема 13.1(неравенство Чебышева). p( | X – M (X)| < ε) ≥ D (X) / ε². (13.1)
Доказательство. Пусть Х задается рядом распределения
| Х | х 1 | х 2 | … | хп |
| р | р 1 | р 2 | … | рп |
Так как события | X – M (X)| < ε и | X – M (X)| ≥ ε противоположны, то р (| X – M (X)| < ε) + + р (| X – M (X)| ≥ ε) = 1, следовательно, р (| X – M (X)| < ε) = 1 - р (| X – M (X)| ≥ ε). Найдем р (| X – M (X)| ≥ ε).
|
|
|
D (X) = (x 1 – M (X))² p 1 + (x 2 – M (X))² p 2 + … + (xn – M (X))² pn. Исключим из этой суммы те слагаемые, для которых | X – M (X)| < ε. При этом сумма может только уменьшиться, так как все входящие в нее слагаемые неотрицательны. Для определенности будем считать, что отброшены первые k слагаемых. Тогда
D (X) ≥ (xk+ 1 – M (X))² pk+ 1 + (xk+ 2 – M (X))² pk +2 + … + (xn – M (X))² pn ≥ ε² (pk+ 1 + pk+ 2 + … + pn).
Отметим, что pk+ 1 + pk+ 2 + … + pn есть вероятность того, что | X – M (X)| ≥ ε, так как это сумма вероятностей всех возможных значений Х, для которых это неравенство справедливо. Следовательно, D (X) ≥ ε² р (| X – M (X)| ≥ ε), или р (| X – M (X)| ≥ ε) ≤ D (X) / ε². Тогда вероятность противоположного события p( | X – M (X)| < ε) ≥ D (X) / ε², что и требо-валось доказать.
Теоремы Чебышева и Бернулли.
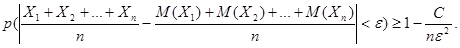
Теорема 13.2 (теорема Чебышева). Если Х 1, Х 2,…, Хп – попарно независимые случайные величины, дисперсии которых равномерно ограничены (D (Xi) ≤ C), то для сколь угодно малого числа ε вероятность неравенства

будет сколь угодно близка к 1, если число случайных величин достаточно велико.
Замечание. Иначе говоря, при выполнении этих условий

Доказательство. Рассмотрим новую случайную величину
и найдем ее математическое ожидание. Используя свойства математического ожидания, получим, что
. Применим к
неравенство Чебышева:
Так как рассматриваемые случайные величины независимы, то, учитывая условие теоремы, имеем:
Используя этот результат, представим предыдущее неравенство в виде:
|
|
|
Перейдем к пределу при
:
Поскольку вероятность не может быть больше 1, можно утверждать, что
Теорема доказана.
Следствие.
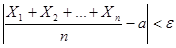
Если Х 1, Х 2, …, Хп – попарно независимые случайные величины с равномерно ограничен-ными дисперсиями, имеющие одинаковое математическое ожидание, равное а, то для любого сколь угодно малого ε > 0 вероятность неравенства
будет как угодно близка к 1, если число случайных величин достаточно велико. Иначе говоря,
.
Вывод: среднее арифметическое достаточно большого числа случайных величин прини-мает значения, близкие к сумме их математических ожиданий, то есть утрачивает характер случайной величины. Например, если проводится серия измерений какой-либо физической величины, причем: а) результат каждого измерения не зависит от результатов остальных, то есть все результаты представляют собой попарно независимые случайные величины; б) измерения производятся без систематических ошибок (их математические ожидания равны между собой и равны истинному значению а измеряемой величины); в) обеспечена определенная точность измерений, следовательно, дисперсии рассматривае-мых случайных величин равномерно ограничены; то при достаточно большом числе измерений их среднее арифметическое окажется сколь угодно близким к истинному значению измеряемой величины.