Числовые характеристики статистического распределения: выборочное среднее, оценки дисперсии, оценки моды и медианы, оценки начальных и центральных моментов. Статистическое описание и вычисление оценок параметров двумерного случайного вектора.
Лекция 16.
Одна из задач математической статистики: по имеющейся выборке оценить значения числовых характеристик исследуемой случайной величины.
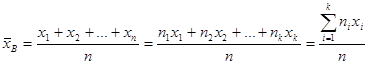
Определение 16.1. Выборочным средним называется среднее арифметическое значений случайной величины, принимаемых в выборке:
, (16.1)
где xi – варианты, ni - частоты.
Замечание. Выборочное среднее служит для оценки математического ожидания исследуемой случайной величины. В дальнейшем будет рассмотрен вопрос, насколько точной является такая оценка.
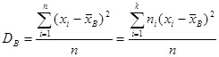
Определение 16.2. Выборочной дисперсией называется
, (16.2)
а выборочным средним квадратическим отклонением –
(16.3)
Так же, как в теории случайных величин, можно доказать, что справедлива следующая формула для вычисления выборочной дисперсии:
. (16.4)
Пример 1. Найдем числовые характеристики выборки, заданной статистическим рядом
| xi | ||||
| ni |
Другими характеристиками вариационного ряда являются:
- мода М0 – варианта, имеющая наибольшую частоту (в предыдущем примере М0 = 5).
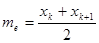
- медиана те - варианта, которая делит вариационный ряд на две части, равные по числу вариант. Если число вариант нечетно (n = 2 k + 1), то me = xk+ 1, а при четном n = 2 k
. В частности, в примере 1 
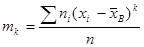
Оценки начальных и центральных моментов (так называемые эмпирические моменты) определяются аналогично соответствующим теоретическим моментам:
- начальным эмпирическим моментом порядка k называется
. (16.5)
В частности,
, то есть начальный эмпирический момент первого порядка равен выборочному среднему.
- центральным эмпирическим моментом порядка k называется
. (16.6)
В частности,
, то есть центральный эмпирический момент второго порядка равен выборочной дисперсии.






