Определение 24.1. Случайными числами называют возможные значения r непрерывной случайной величины R, распределенной равномерно в интервале (0; 1).
1. Разыгрывание дискретной случайной величины.
Пусть требуется разыграть дискретную случайную величину Х, то есть получить последовательность ее возможных значений, зная закон распределения Х:
Х х 1 х 2 … хп
р р 1 р 2 … рп.
Рассмотрим равномерно распределенную в (0, 1) случайную величину R и разобьем интервал (0, 1) точками с координатами р 1, р 1 + р 2, …, р 1 + р 2 +… + рп -1 на п частичных интервалов
, длины которых равны вероятностям с теми же индексами.
Теорема 24.1. Если каждому случайному числу
, которое попало в интервал
, ставить в соответствие возможное значение
, то разыгрываемая величина будет иметь заданный закон распределения:
Х х 1 х 2 … хп
р р 1 р 2 … рп.
Доказательство.
Возможные значения полученной случайной величины совпадают с множеством х 1, х 2,… хп, так как число интервалов равно п, а при попадании rj в интервал
случайная величина может принимать только одно из значений х 1, х 2,… хп.
|
|
|
Так как R распределена равномерно, то вероятность ее попадания в каждый интервал равна его длине, откуда следует, что каждому значению
соответствует вероятность pi. Таким образом, разыгрыываемая случайная величина имеет заданный закон распределения.
Пример. Разыграть 10 значений дискретной случайной величины Х, закон распределения которой имеет вид: Х 2 3 6 8
р 0,1 0,3 0,5 0,1
Решение. Разобьем интервал (0, 1) на частичные интервалы: D1- (0; 0,1), D2 – (0,1; 0,4), D3 - (0,4; 0,9), D4 – (0,9; 1). Выпишем из таблицы случайных чисел 10 чисел: 0,09; 0,73; 0,25; 0,33; 0,76; 0,52; 0,01; 0,35; 0,86; 0,34. Первое и седьмое числа лежат на интервале D1, следовательно, в этих случаях разыгрываемая случайная величина приняла значение х 1 = 2; третье, четвертое, восьмое и десятое числа попали в интервал D2, что соответствует х 2 = 3; второе, пятое, шестое и девятое числа оказались в интервале D3 – при этом Х = х 3 = 6; на последний интервал не попало ни одного числа. Итак, разыгранные возможные значения Х таковы: 2, 6, 3, 3, 6, 6, 2, 3, 6, 3.
2. Разыгрывание противоположных событий.
Пусть требуется разыграть испытания, в каждом из которых событие А появляется с известной вероятностью р. Рассмотрим дискретную случайную величину Х, принимающую значения 1 (в случае, если событие А произошло) с вероятностью р и 0 (если А не произошло) с вероятностью q = 1 – p. Затем разыграем эту случайную величину так, как было предложено в предыдущем пункте.
Пример. Разыграть 10 испытаний, в каждом из которых событие А появляется с вероятностью 0,3.
Решение. Для случайной величины Х с законом распределения Х 1 0
р 0,3 0,7
получим интервалы D1 – (0; 0,3) и D2 – (0,3; 1). Используем ту же выборку случайных чисел, что и в предыдущем примере, для которой в интервал D1 попадают числа №№1,3 и 7, а остальные – в интервал D2. Следовательно, можно считать, что событие А произошло в первом, третьем и седьмом испытаниях, а в остальных – не произошло.
|
|
|
3. Разыгрывание полной группы событий.
Если события А 1, А 2, …, Ап, вероятности которых равны р 1, р 2,… рп, образуют полную группу, то для из разыгрывания (то есть моделирования последовательности их появлений в серии испытаний) можно разыграть дискретную случайную величину Х с законом распределения Х 1 2 … п, сделав это так же, как в пункте 1. При этом считаем, что
р р 1 р 2 … рп
если Х принимает значение хi = i, то в данном испытании произошло событие Аi.
4. Разыгрывание непрерывной случайной величины.
а) Метод обратных функций.
Пусть требуется разыграть непрерывную случайную величину Х, то есть получить последовательность ее возможных значений xi (i = 1, 2, …, n), зная функцию распределения F (x).
Теорема 24.2. Если ri – случайное число, то возможное значение xi разыгрываемой непрерывной случайной величины Х с заданной функцией распределения F (x), соответствующее ri, является корнем уравнения
F (xi) = ri. (24.1)
Доказательство.
Так как F (x) монотонно возрастает в интервале от 0 до 1, то найдется (причем единственное) значение аргумента xi, при котором функция распределения примет значение ri. Значит, уравнение (24.1) имеет единственное решение: хi = F -1(ri), где F -1- функция, обратная к F. Докажем, что корень уравнения (24.1) является возможным значением рассматриваемой случайной величины Х. Предположим вначале, что xi – возможное значение некоторой случайной величины x, и докажем, что вероятность попадания x в интервал (с, d) равна F (d) – F (c). Действительно,
в силу монотонности F (x) и того, что F (xi) = ri. Тогда
, следовательно,
Значит, вероятность попадания x в интервал (c, d) равна приращению функции распределения F (x) на этом интервале, следовательно, x = Х.
Пример.
Разыграть 3 возможных значения непрерывной случайной величины Х, распределенной равномерно в интервале (5; 8).
Решение.
F (x) =
, то есть требуется решить уравнение
Выберем 3 случайных числа: 0,23; 0,09 и 0,56 и подставим их в это уравнение. Получим соответствующие возможные значения Х: 
б) Метод суперпозиции.
Если функция распределения разыгрываемой случайной величины может быть представлена в виде линейной комбинации двух функций распределения:
, (24.2)
то
, так как при х ®¥ F (x) ® 1.
Введем вспомогательную дискретную случайную величину Z с законом распределения
Z 1 2. Выберем 2 независимых случайных числа r 1 и r 2 и разыграем возможное
p C 1 C 2
значение Z по числу r 1 (см. пункт 1). Если Z = 1, то ищем искомое возможное значение Х из уравнения
, а если Z = 2, то решаем уравнение
.
Можно доказать, что при этом функция распределения разыгрываемой случайной величины равна заданной функции распределения.
в) Приближенное разыгрывание нормальной случайной величины.
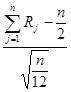
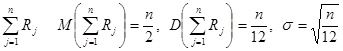
Так как для R, равномерно распределенной в (0, 1),
, то для суммы п независимых, равномерно распределенных в интервале (0,1) случайных величин
. Тогда в силу центральной предельной теоремы нормированная случайная величина
при п ® ¥ будет иметь распределение, близкое к нормальному, с параметрами а = 0 и s =1. В частности, достаточно хорошее приближение получается при п = 12: 
Итак, чтобы разыграть возможное значение нормированной нормальной случайной величины х, надо сложить 12 независимых случайных чисел и из суммы вычесть 6.






