Рис 1.3. Классификация энергетических загрязнений
Рис 1.2. Схема взаимодействия промышленного предприятия с окружающей природной средой
КЛАССИФИКАЦИЯ ТЕХНОГЕННЫХ ФИЗИЧЕСКИХ ЗАГРЯЗНЕНИЙ
Любое промышленное предприятие является источником техногенных загрязнений. На рис. 1.2. представлена схема взаимодействия промышленного предприятия с окружающей природной средой [4], которая в общем виде отражает ресурсы, поступающие на производство и образованные в процессе производственной деятельности предприятия отходы различных видов.

Большую долю загрязнений занимают энергетические выбросы. По своей природе энергетические загрязнения условно можно разделить на три группы (рис. 1.3): механическую, электростатическую (магнитостатическую) и электромагнитную.
К первой группе относятся энергетические загрязнения, представляющие собой колебательно-волновое движение частиц упругой среды газовой, жидкой, твердой фаз: различные шумы, вибрации, инфразвук, ультразвук, гиперзвук.
Ко второй и третьей группам относятся техногенные загрязнения, представляющие собой постоянные и переменные электромагнитные поля различных длин волн, от промышленной частоты до электромагнитных колебаний очень высокой частоты, вплоть до рентгеновского и у-диапазонов. В свою очередь, в каждой из этих групп в зависимости от различных свойств техногенных энергетических загрязнений может быть применена классификация по другим признакам.
|
|
|
В настоящее время интенсивно развивается космическая техника и связанное с нею освоение околоземного космического пространства. Это направление в науке и технике является весьма актуальным и перспективным. Уже сейчас трудно представить современное общество без глобальной спутниковой связи и телевидения, глобального мониторинга атмосферы, разведки недр, наблюдения с помощью спутников за ледяным покровом, состоянием Мирового океана, морей, озер, рек, лесов, всей земной поверхности и т. д.
|
Выход человека в космос, проводимые космические исследования, создание орбитальных станций как обитаемых, так и автоматических, все увеличивающийся поток запускаемых спутников разных назначений является необходимым и необратимым процессом научно-технического прогресса. Однако вместе с этим возникает и проблема загрязнения околоземного пространства. Сейчас можно говорить о космической экологии. Запуск космических аппаратов неизбежно связан с загрязнением атмосферы из-за процессов сгорания топлива. Продукты отходов возникают в результате деятельности орбитальных станций. При переходе космических аппаратов с одной орбиты на другую необходимо включение ракетных двигателей с последующим выбросом в космос продуктов сгорания. Отработанные ступени ракет либо сгорают в атмосфере, либо падают на земную поверхность в виде твердых отходов. Отработавшие свой ресурс космические аппараты становятся балластом в космосе и представляют определенную опасность для действующих орбитальных станций. Некоторые из отработанных конструкций космических аппаратов со временем снижают свою траекторию, входят в плотные слои атмосферы и сгорают в ней, создавая при этом значительное количество вредных примесей в виде газов, оксидов металлов, аэрозолей. Воздействие космических аппаратов на окружающую среду сопровождается и физическими загрязнениями, возникающими с момента старта (шум, вибрация, тепловое загрязнение и т. д.), при работе на орбите (повышенный фон электромагнитных полей, действие невесомости) и до момента посадки.
|
|
|
Подробное рассмотрение техногенных энергетических (физических) загрязнений, а также методов защиты от физических загрязнений представлено в последующих главах.
В окружающей нас природной среде имеются источники, создающие шумовой, электростатический и электромагнитный естественный фон Земли. Естественные источники можно разделить на постоянно действующие (например, космические пыль и излучения, магнитное поле Земли, солнечное излучение, морской прибой, атмосферное электричество и т. п.) и кратковременные (гром, молния, извержение вулкана и т. д.).
К основным источникам, создающим электромагнитный и шумовой фон, относятся Солнце, магнитосфера, атмосферное электричество.
Наряду с электромагнитным фоном в биосфере всегда присутствуют шумы естественного происхождения с широким спектральным диапазоном и разной интенсивностью (от тихого шелеста листьев до грохота при извержении вулканов и грозовых разрядах). Все составляющие естественного фона взаимосвязаны и взаимозависимы.
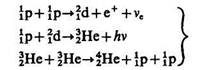
Среди естественных источников, создающих электромагнитный фон, основным, безусловно, является Солнце, играющее огромное значение для поддержания жизни на Земле. Солнце является центральным телом нашей планетной системы и ее основным источником энергии, которая возникает вследствие термоядерной реакции, протекающей в его ядре. Возможность протекания этой реакции обеспечивается чрезвычайно высокими давлениями (примерно 250 миллиардов атмосфер) и температурами (~ 1,5 108 К), возникающими вследствие собственной гравитации из-за гигантской массы Солнца, примерно равной 2•1030 кг, что составляет 99,87% всей массы Солнечной системы. Плотность вещества в его ядре достигает примерно 160 г/см3. Основной реакцией термоядерного синтеза легких ядер водорода в ядра гелия (42Не) является протон-протонный цикл:
|
где
|
соответственно протон, дейтрон,позитрон, нейтрино электронное, электромагнитное излучение (ЭМИ).
Энергия, выделяющаяся при термоядерном синтезе [см. уравнение (1.1)] идет на поддержание температуры в ядре Солнца и на коротковолновое электромагнитное излучение.
Как известно из теории относительности, связь энергии Е и массы т частицы (объекта, процесса) определяется соотношением Эйнштейна, которое запишем в виде:
|
|
Замечательно то, что в (1.2) релятивистская масса т находится точно в таком же соотношении с полной энергией Е, как масса покоя m0 с энергией покоя E0. Эта величина является энергетическим выражением массы тела (частицы), находящегося в состоянии покоя
(v =0). Отметим, что 1 грамм вещества обладает энергией покоя, равной 9•1020 эрг. При малых скоростях (v<<c) релятивистская масса совпадает с массой покоя т0, так как релятивистская поправка b@0 и релятивистский множитель g@1 (m=m0g ~m0).
Энергия, выделяющаяся в термоядерной реакции (1.1), образуется в результате превращения определенной части солнечного вещества в излучении за счет дефекта масс.
|
|
|
Ядро гелия по массе несколько легче четырех протонов и из-за дефекта масс D m часть энергии D Е переходит в излучение {Nhv= D E= D mc2, где N — число квантов ЭМИ).
Отметим, что при образовании 4 г гелия в реакции (1.1) выделяется энергия, равная энергии, образующейся при сжигании почти двух вагонов угля. Из этого видно, что такое термоядерная энергия с точки зрения ее потенциального запаса. Радиус r ядра Солнца, в котором происходит реакция (1.1), составляет примерно 25% (r=0,25R) от радиуса Солнца R, который равен ~7•105 км. При указанной выше массе Солнца и радиусе R средняя плотность солнечного вещества составляет примерно 1,41 г/см3, в отличие от плотности ядра, указанной выше. В пределах ядра водород «выгорает», но чем дальше от ядра Солнца, тем больше водорода в процентном отношении к гелию. По спектральному анализу химический состав Солнца определяется соотношением (90% Н2:10% Не).
Эффективная температура поверхности Солнца (фотосфера) составляет 5770°С, ускорение свободного падения достигает 274 м/с2.
Солнце теряет часть своей массы за счет излучения. Фотон (квант энергии излучения) можно рассматривать как частицу с нулевой массой покоя и скоростью распространения, равной скорости света, т. е. фотон можно представить в виде частицы с нулевой массой покоя. Масса фотона проявляется только в движении. Если фотон двигается в потенциальном поле Земли против сил притяжения его частота сдвигается в красную сторону спектра («красное смещение»). Если фотон двигается вниз к Земле, то его частота повышается («голубое смещение»). Об этом более подробно будет сказано ниже при рассмотрении тепловых выбросов.
Масса, соответствующая фотону видимого диапазона, примерно равна

При массе атома порядка 10-24 — 10-23 г, последний теряет при излучении светового кванта ничтожную долю своей массы (энергии). Земля получает от Солнца за год количество энергии, пропорциональное в пересчете на массу, величиной 6•1010 г (60000 т). Полная масса, теряемая Солнцем в виде излучения в космосе за год составляет 1,4•1020 г. За период, равный миллиону лет, при той же интенсивности Солнце потеряет примерно 1,4 • 1026 г, что составляет ~10-5% современной массы Солнца. Из приведенных цифр видно, что солнечное излучение будет долго служить человечеству. Превращение массы в излучение играет большую роль в процессе звездной эволюции.
|
|
|
В результате реакции (1.1), происходящей в ядре Солнца, возникает излучение очень высоких частот, которое за счет рассеяния, поглощения, реэмиссии и других процессов по мере продвижения к периферийным областям Солнца испускается в виде квантов ультрафиолетового, видимого и инфракрасного диапазонов. При этом присутствует и корпускулярное излучение. При среднем расстоянии от Земли до Солнца полное количество падающего излучения за время 60 сек. на площадь в один квадратный сантиметр составляет около 1,95 кал. Эта величина названа солнечной постоянной и колебание ее не превышает одного процента. По этой величине можно судить о постоянстве солнечного излучения. Если эта величина увеличилась бы на 10%, то наша Земля превратилась бы в пустыню, а в случае уменьшения этой постоянной на 10% — Земля покрылась бы тонким слоем льда. При общей мощности Солнца, равной примерно 3,83 • 1026 Вт, на Землю приходится около 2 • 1017 Вт [9]. Спектральная интенсивность rl солнечного излучения представлена на рис. 1.4. Как видно из этого спектра, максимум излучения Солнца приходится на середину видимого диапазона, причем 95% энергии солнечного излучения приходится на диапазон длин волн от ближнего ультрафиолетового до ближнего (включительно) инфракрасного диапазона длин волн, включая весь видимый диапазон.
Роль солнечного излучения для биосферы огромна. Оно является одним из главных источников высококачественной, экологически чистой энергии нашей планеты, под влиянием которого зародилась жизнь на Земле.
Электромагнитный фон в окружающей нас природной среде, в основном, определяется под воздействием солнечного ветра, который представляет собой поток электромагнитной энергии и поток заряженных частиц, взаимодействующих с магнитным полем Земли.
|
Процесс передачи энергии от ядра Солнца на его периферию довольно сложный. Большая часть энергии из верхней части солнечной короны выносится потоками солнечного ветра. Эти потоки представляют собой плазму, ради-ально истекающую в межпланетное пространство. Образование солнечного ветра обусловлено потоками энергии более глубоких слоев Солнца. Поток солнечного ветра состоит, как и солнечная корона, в основном, из протонов, электронов и ядер гелия, (от 2 до 20%). В районе орбиты Земли скорость протонов плазмы составляет примерно (3 — 7,5) ■ 107 м/сек. В зависимости от состояния солнечной активности у орбиты