Рис. 1.4. Спектр солнечного излучения
Земли концентрация протонов «р составляет от нескольких частиц до нескольких десятков частиц в одном см3 при потоке 5107 — 5108см~2с~1. Энергия, уносимая солнечным ветром в межпланетное пространство, составляет 1О20 — 1022 Вт. Изменение интенсивности солнечного ветра в значительной степени влияет на нагрев верхней атмосферы Земли, полярные сияния, магнитные бури и различные биофизические процессы [9 — 11]. Увеличение интенсивности солнечного ветра происходит в результате солнечных вспышек, которые возникают в активных областях атмосферы и длятся от нескольких минут до нескольких часов. Они возникают в районе быстро образуемых групп солнечных пятен. Площадь вспышек достигает 10 м2. Энергия, выделяющаяся при вспышке, достигает 1025 Дж. При этом наблюдается значительное увеличение интенсивности ультрафиолетового излучения Солнца, сопровождающееся всплесками рентгеновского и радиоизлучения, значительным выбросом частиц высоких энергий, вплоть до 10 МэВ. Некоторые вспышки порождают особенно интенсивные протонные потоки, которые представляют большую опасность для обитаемых космических аппаратов. Эти частицы высоких энергий при столкновении с корпусом летательного аппарата порождают тормозное рентгеновское и у-излучение значительной интенсивности, что представляет радиационную опасность для космонавтов. Солнечная активность повторяется с периодом 11 лет. Этот цикл коррелирует со многими процессами в биосфере Земли. Например, изменение скорости роста деревьев, установленное на протяжении многолетних наблюдений по чередованию ширины годовых колец, повторяется с этим периодом. Такая же корреляция наблюдается между землятрясениями, сельскохозяйственным урожаем, эпидемиями болезней (гриппа, холеры, тифа и т. д.), сердечно-сосудистыми заболеваниями, размножением и миграцией насекомых, колебаниями уровня озер и периодом солнечной активности. В период активного Солнца увеличивается интенсивность рентгеновского излучения в два раза в диапазоне длин волн 300 — 100 А; в диапазоне 100 —10 А интенсивность возрастает в 3 — 5 раз, а в диапазоне 10А— в 100 раз. Ультрафиолетовое излучение в диапазоне длин волн 1800 — 3500 А в период 11-летнего цикла меняется незначительно (1 — 10%). Мощность излучения в диапазоне длин волн 0,29 —2,4 мкм в период солнечной активности практически не меняется и составляет 3,6 1026 Вт.
|
|
|
Получаемая Землей энергия Солнца остается постоянной, что является фактором стационарности теплового естественного баланса земной планеты. Солнечные вспышки не оказывают кардинального значения на энергетический баланс Земли. Однако солнечные вспышки оказывают существенное влияние на многие биохимические, биофизические процессы. Солнце, в конечном счете, является одним из основных источников энергии Земли не только в виде постоянной подачи электромагнитной энергии, но и других источников энергии, таких, как органическое топливо (уголь, нефть, торф, газ и т. п.), механическая энергия ветра, морского прибоя и т. д., происхождение которых во многом обусловлено солнечным излучением. Солнечно-земные связи настолько переплетены, что невозможно разграничить условия существования и развития биосферы от воздействия солнечного излучения.
|
|
|
В настоящее время интенсивно изучаются все стороны взаимодействия солнечного излучения с биосферой Земли, так как это имен большое значение для понимания всех процессов, происходящих в такой сложной, упорядоченной, диссипативной, неравновесной системе, как «человек — окружающая среда». Солнечно-земные связи изучаются не только гелиобиологией, гелиогеофизикой, гелиометеорологи-ей, но и экологией.
Магнитосфера Земли обладает собственным магнитным полем [9, 12]. Напряженность магнитного поля Земли на полюсах больше напряженности магнитного поля на экваторе. Причем магнитные полюса Земли не совпадают с географическими полюсами и со временем изменяют свое положение. Энергия магнитного поля Земли весьма значительна из-за ее размеров. Наша планета имеет примерно такое же магнитное поле, каким обладает высококачественный стальной шарообразный магнит диаметром 600 км. Для создания такого потока магнитной индукции, каким обладает Земля, необходимо охватить земной шар по экватору проводником и пропускать по нему электрический ток величиной в 600 миллионов ампер.

Взаимодействие магнитного поля Земли с солнечным ветром создает магнитосферу Земли, которая представляет собой сложную структуру.
|
|
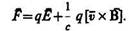
На заряженную частицу, движущуюся в электрическом E и магнитном В полях, действует сила F, которую запишем в СИ [13 — 141:
где т, v, q — масса, скорость и заряд частицы. В системе СГС это уравнение имеет вид (см. Приложение 1):
|
В уравнениях (1.4) — (1.5) гравитационной силой, действующей на массу частицы, можно пренебречь, так как эта сила на много порядков меньше силы электромагнитного взаимодействия. Уравнение (1.4) запишем в виде:
где t —• время.
Формула (1.6) в общем виде представляет собой уравнение движения частицы, движущейся в электромагнитных полях с релятивистскими скоростями, когда т=уто, без учета поправки на излучение при ее ускоренном движении.
По уравнению (1.6) можно определить траекторию заряженной частицы в магнитном поле Земли при наличии электрического и магнитного полей. Для нерелятивистского случая (v << c) уравнение (1.6) имеет вид:

При реальных распределениях силовых линий электрического и магнитных полей траектории заряженных частиц в магнитосфере Земли имеют сложный характер (рис. 1.5).
Под действием плазмы солнечного ветра, нагретой до 5 ° 107 К внутримагнитосферными процессами и ионосферными ионами, в магнитосфере Земли возникает плазменный слой.
С дневной стороны размеры магнитосферы Земли составляют 8 — 14R, где R — радиус Земли. Вследствие действия солнечного ветра геометрические силовые линии переносятся с дневной стороны магнитосферы Земли на ночную, образуя при этом геомагнитный хвост в несколько сот R. В нем существует крупномасштабное электрическое поле, расположенное поперек хвоста. В результате этого возникает дрейф плазмы, перпендикулярный геомагнитному хвосту. Взаимодействие плазменных потоков с магнитосферой, солнечным ветром, межпланетным магнитным полем при наличии суточного вращения Земли проявляется до больших высот (примерно до 3•104 км). На высоких широтах силовые магнитные линии перпендикулярны ионосфере. Вдоль этих линий в магнитосферу Земли из ионосферы двигаются потоки плазмы, называемые полярным ветром. Эти потоки доставляют нагретую плазму в удаленные области хвоста магнитосферы Земли.
|
|
|
|
Рис 1.5. Качественная схема магнитосферы Земли
1 - Земля; 2 - плоскость геомагнитного экватора; 3 - радиационные пояса; 4 - магнитопауза; 5 - фронт ударной волны; 6 - переходная область
Сложный характер энергообмена между солнечным ветром, магнитосферой, ионосферой можно в какой-то степени объяснить механизмом, действующим в магнитогидродинамическом генераторе (МГД-генера-тор). В магнитосфере Земли кинетическая энергия плазмы солнечного ветра преобразуется в магнитосферно-ионосферные токи с последующей диссипацией внутри ионосферы. Суммарная величина-этих токов достигает (1 — 3) • 106 А. Продольные токи выполняют важную роль в электродинамической структуре магнитосферы Земли, потому что с их помощью энергия солнечного ветра передается от границ магнитосферы до ионосферы.
Об энергетике процессов, происходящих в магнитосфере Земли под действием солнечного ветра, можно судить по табл. 1.1.
Таблица 1.1. Некоторые энергетические характеристики магнитосферы Земли:
СВ — солнечный ветер; МС — магнитосфера Земли (данные взяты из [9])
| Источник | Мощность (Вт) или энергия (Дж) |
| Мощность СВ, падающая на поперечное сечение МС | 2 1013 |
| Мощность СВ, инжектируемая в МС | 3 1011 |
| Инжекция плазмы в кольцевой ток МС | (2-100) 1010 |
| Джоулев разогрев в ионосфере | (5 —100) 1010 |
| Авроральная радиация (поток частиц, вторгающихся в верхнюю атмосферу) | (4—10) 1010 |
| Геомагнитные микропульсации | 6 109 |
| Энергия магнитного поля, запасенная в хвосте | (3-30) 1015 |
| Энергия частиц в кольцевом токе МС | (2-10)-1015 |
Магнитосфера и ионосфера Земли чувствительны к любым изменениям, происходящим в потоке солнечного ветра, который, в свою очередь, является чувствительным детектором возмущений, возникающих на Солнце. Существует тесная планетарная связь между жизнью в биосфере и солнечно-земными связями. При появлении возмущений в солнечном ветре, появляются эховые возмущения в магнитосфере Земли. В некоторых случаях эти возмущения длятся один-два часа. Механизм действия возмущений в магнитосфере имеет сложный характер и получил название суббури. При наложении во времени суббури превращаются в магнитные бури магнитосферы Земли. При этом возникает диссипация энергии в магнитосфере Земли, достигающая величины примерно 10 Вт. Это сопровождается джоулевым выделением теплоты в ионосферных токах, внедрением в верхнюю атмосферу Земли потоков заряженных и нейтральных частиц, приводящих к возникновению интенсивных полярных сияний на высотах 100 — 200 км. Интенсивность энерговыделения в полярных сияниях достигает 10-2 — 10-1 Вт/м2 вдоль аврорального овала (от англ. auroral— напоминающий полярное сияние, вызванный полярным сиянием). При этом наблюдаются яркие полярные сияния.
|
|
|
В ионосфере возникают интенсивные токи. Поскольку движение заряженных частиц зависит от величины и направления силовых линий электрического и магнитного полей, от их временных зависимостей, от знака заряда и вектора скорости, то в соответствии с уравнением (1.6) определение траектории каждой отдельной частицы представляет чрезвычайно трудную задачу. Она уподобляется задаче по определению взаимодействия многих тел. Каждая заряженная частица помимо действия полей испытывает при своем движении столкновения с другими частицами с непредсказуемым характером обмена импульсами. Для полей Е и В, произвольно меняющихся во времени и пространстве, уравнение (1.6) не интегрируется в общем виде. В настоящее время разработан механизм, объясняющий основные процессы взаимодействия солнечного ветра, магнитосферы и ионосферы Земли [9, 12], в том числе и образование полярных сияний.
Из-за разных ускорений продольной и поперечной составляющих скоростей заряженных частиц при крупномасштабной конвекции плазмы образуется анизотропное распределение частиц по скоростям. Это приводит к возникновению волн в плазме с последующим рассеиванием частиц на этих волнах (волны «свистов») и попаданием частиц в магнитные ловушки. Затем заряженные частицы из этих ловушек попадают в атмосферу, вызывая ее свечение. Крупномасштабная конвекция расслаивается на мелкомасштабные неоднородности. Дуги полярных сияний являются проявлением мелкомасштабного расслоения. Образование дуг полярных сияний происходит от локального усиления продольного тока в результате внутримагнитосферных процессов. В продольном электрическом поле происходит ускорение электронов и по мере их продвижения к Земле и вторжения в атмосферу возникают дискретные формы полярных сияний. Для частиц высоких энергий, превышающих тепловую, области замкнутых геомагнитных линий являются геомагнитными ловушками. В них существуют потоки электронов и протонов с энергиями более 1 МэВ, которые образуют радиационный пояс. Во время магнитных бурь опасность этих радиационных поясов возрастает.
Магнитосфера Земли является источником радиоволн. При взаимодействии электронов с магнитосферной плазмой на авроральных силовых линиях на больших высотах (около 5000 км) происходит авроральное километровое излучение (АКИ) с частотами 102 — 103 кГц (гирочастота электронов) и мощностью во время магнитных суббурь 109 Вт. Кроме АКИ магнитосфера Земли излучает постоян но во времени волны в диапазоне от 0,5 кГц — 100 кГц с непрерываемым спектром. Природа этих волн объясняется синхронным излучением электронов радиационного пояса.
В магнитосфере Земли наблюдаются авроральные радиоотражения на коротких и ультракоротких волнах (KB, УКВ), которые объясняются рассеиванием этих волн на неоднородностях плазмы в области полярных сияний. В табл. 1.2 представлены некоторые характеристики плазменных потоков, окружающих Землю.
Таблица 1.2. Некоторые характеристики плазменных потоков в окрестностях Земли
| Область | Концентрация частиц, см-3 | Температура, эВ | Скорость потока, км/с | Магнитное поле, 10-5 Гс | |
| ионная | электронная | ||||
| Солнечный ветер | 5 - 20 | 10-20 | 20-40 | 300-800 | 5 — 15 |
| Входной слой | 1 - 10 | 200-2000 | 10-200 | 100-300 | 40—60 |
| Плазменная мантия | 0,1-5,0 | 100-200 | 26-40 | 100-200 | 20—30 |
| Плазменный слой | 0,1-1,0 | 500-5·103 | (2-20) ·102 | 0—103 | 10—20 |
| Кольцевой ток | 5 - 20 | 104- 105 | 103 | — | 100—500 |
| Плазмосфера | 102 - 103 | 0,3-1 | 0,3-1 | — | 102 - 104 |
Магнитосфера (МС) Земли обладает собственным магнитным моментом. Различают собственную МС (CMC), наведенную МС (НМС) и комбинированную МС (КМС).
CMC обладает таким магнитным моментом (ММ), который обеспечивает уравновешивание динамического давления солнечного ветра за пределы ионосферы и, таким образом, образуется собственная магнитная область с силовыми линиями магнитного поля и свободная от солнечного ветра.
НМС обладает незначительным магнитным полем и плотной ионосферой. При взаимодействии последней с солнечным ветром под действием Лоренцева электрического поля Ё= — [v*E\ индуцируются электрические токи, которые создают магнитное поле и, таким образом, образуют НМС (такой НМС обладает Венера и кометы). КМС имеет собственное магнитное поле по величине соизмеримое с величиной наведенного магнитного поля (предполагается, что Марс обладает комбинированной МС). В табл. 1.3 представлены. силовые линии МС некоторых планет.

Рис. 1.6. Силовые линии НМС Венеры.
Таблица 1.3. Магнитосферы планет
| Планета | ТипМС | Магнитный момент, Гс • см3 |
| Меркурий | CMC | 4,9-10" |
| Венера | нмс | 1,0 10" |
| Земля | CMC | 8,1 10" |
| Марс | кмс | 1,0-10" |
| Юпитер | CMC | 1,6-103° |
| Сатурн | CMC | 4,4-1028 |
| Уран | CMC | 4,0-1027 |
Качественная картина силовых линий НМС Венеры представлена на рис. 1.6.