Анализ безотказности выполняют основываясь на том, что для каждого элемента резервируемого узла справедливо выражение
(4.1)
где р — вероятность безотказной работы;
q0 — вероятность отказа типа "обрыв";
qкз — вероятность отказа типа "короткое замыкание".
Предполагается, что вероятности р, q0, qкз, соответствующие элементу, подсчитываются для одного и того же заданного времени t3, т.е.

Выражение (4.1) означает, что в любой момент времени элемент либо исправен, либо имеет отказы типа "обрыв" или "короткое замыкание". Указанные три состояния являются несовместными и образуют полную группу событий.
| Рис.5.30. Параллельное соединение элементов |
Покажем прием анализа безотказности на примере параллельного способа соединения двух элементов резервируемого узла (рис.4.7).
Будем предполагать, что элементы резервируемого узла идентичны характеристики р, q0, qK3.
Рассмотрим состояния, благоприятствующие исправной работе этого резервируемого узла. Всего состояний резервируемого узла девять (З2 = 9), так как элемент имеет три состояния, а всего элементов два (см. рис.4.7). Из девяти состояний благоприятствующими безотказной работе узла в целом будут лишь три (табл.4.1).
|
|
|
Таблица 4.1 Состояния резервируемого узла, благоприятствующие его безотказной работе
| Номер состояния | Элемент 1 | Элемент 2 |
| Р | Р | |
| Р | q0 | |
| q0 | Р |
В табл.4.1 знаком p обозначено исправное состояние элемента, знаком q0 — состояние, соответствующее отказу типа "обрыв".
Так как указанные состояния являются несовместными, то вероятность безотказной работы резервируемого узла в целом может быть подсчитана как сумма вероятностей этих состояний, т.е.
(4.2)
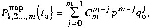
Если рассматривать далее в составе резервируемого узла три, четыре и т.д. элементов, то можно прийти к формуле вида
(4.3)
где– т — общее число элементов резервируемого узла;
— биноминальные коэффициенты формулы Ньютона
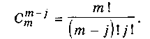
(коэффициенты бинома Ньютона). Эти коэффициенты могут быть вычислены по формуле
(4.4)
Следует знать, что

поэтому в формуле (4.4) величина
может быть заменена на величину
.
При использовании формулы (4.4) нужно помнить, что 0! = 1.
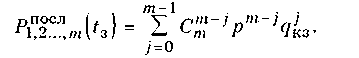
В случае последовательного способа соединения элементов резервируемого узла формула для подсчета вероятности безотказной работы резервируемого узла примет вид
(4.5)
Нетрудно увидеть, что формула (4.5) получается из формулы (4.3) путем замены вероятности q0 на вероятность qкз.
При смешанном способе соединения элементов резервируемого узла анализ безотказности зависит от конкретной схемы соединения элементов.
Покажем, как выполнять анализ безотказности на примере смешанного способа соединения (рис.4.8).
|
|
|
Рис. 4.8. Смешанный способ соединения диодов резерви-руемого узла (последовательно-параллельная схема)
Будем предполагать, что диоды резервируемого узла одинаковы и имеют следующие значения характеристик р, q0, qкз для времени t3:

Рассматривая схему соединения диодов (см. рис.4.8), можно увидеть, что две последовательные цепочки соединены между собой параллельно, отсюда и название схемы: последовательно-параллельная.
В литературе описываются приемы анализа, основанные на рассмотрении состояний резервируемого узла. Так, в данном примере узел будет иметь
З4 = 81 состояние
ибо каждый диод может принять одно из трех состояний, а в узле соединено четыре элемента.
Но из 81 состояния безотказной работе узла в целом благоприятствуют только 39. Поэтому можно указать эти состояния, а затем вероятность безотказной работы узла найти как сумму их вероятностей. Однако такой путь длинный, легко допустить неточность. Поэтому предлагается другой, более рациональный, способ.
Суть его состоит в следующем. Вначале диоды последовательной цепочки сворачиваются в один эквивалентный (рис.4.9), причем он будет иметь свои характеристики, а именноРэ, q0э, qкзэ.

| Рис.4.9. Свертка диодов последовательных цепочек в эквивалентный диод |
Предположим, что показатели безотказности эквивалентного диода Рэ, q0э, qкзэ каким-либо образом найдены. Тогда задача определения вероятности безотказной работы резервируемого узла в целом сводится уже к ранее рассмотренной задаче — параллельному соединению элементов резервируемого узла.
Применим изложенный подход к рассматриваемому примеру (см рис.4.8).
Применяя формулу (4.2) для случая двух последовательно соединенных элементов, найдем вероятность безотказной работы эквивалентного диода. Получим(перед PQ должна стоять 2):

Далее определим для эквивалентного диода характеристики q0э и qкзэ Нетрудно установить, что для последовательного соединения только одно состояние благоприятствует отказу цепочки по типу "короткое замыкание", а именно — отказ данного типа обоих диодов последовательной цепочки. Поэтому

Значение характеристики q0э найдем, пользуясь соотношением (4.1).
Получим

Окончательно вероятность безотказной работы всего резервируемого узла (см.рис.4.8) определим, пользуясь рис.4.9 и формулой (4.2) для случая двух параллельно соединенных элементов.

В случае соединения элементов по параллельно-последовательной схеме выполняется свертка в эквивалентный элемент цепочек из параллельно соединенных элементов (рис.4.10).

| Рис.4.10. Параллельно-последовательная схема соединения элементоврезервируемого узла и ее свертка |
Анализ безотказности в этом случае аналогичен вышерассмотренному примеру.
Заканчивая рассмотрениеанализа безотказности устройств при наличии постоянного резервирования, заметим, что при таком резервировании характер отказов элементов играет принципиальную роль с точки зрения безотказности устройств в целом и обязательно должен приниматься во внимание.






