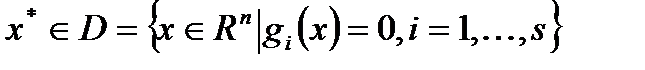
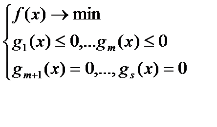
Постановка задачи:
(1), где
:
, i = 1
s.
Положим 
Опр.1 Функция
вида
называют функцией Лагранжа для (1).
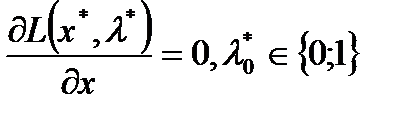
Необходимые условия локального максимума формулируются теоремой:
Теорема 1 (Каруша-Джона): Пусть
и
точка локального минимума функции
на
. Тогда существует вектор
такой что
1.
, (условие стационарности);
2.
(условие дополняющей нежесткости);
3.
(условие неотрицательности);
4.
, (условие нормировки).
С учетом
ограничений равенств и условия нормировки количество неизвестных совпадает с количеством равенств в формулировке теоремы 1.
Достаточные условия локального минимума формулируются теоремой:
Теорема 2: Пусть
Пара
такова, что
1. 
2. 
3. 
4.
.
5.
где
, а
,
.
Тогда
является точкой локального минимума функции
на множестве
.
Замечание. Всякое равенство
эквивалентно двум неравенствам
и
, а всякое неравенство
эквивалентно равенству
. Это позволяет свести задачу (1) к задаче с ограничениями типа неравенств:
,
,
(2)
либо к задаче с ограничениями равенствами:
,
(3)
Условия локального минимума в случае ограничений равенств (
) принимают вид:
Теорема
: пусть
на
. Тогда
вектор
, что
.
Теорема
: Пусть
. Пара
удовлетворяет условиям:
1.
; 2.
;
3.
; 4.
,
.
Тогда
- точка локального минимума
на
.
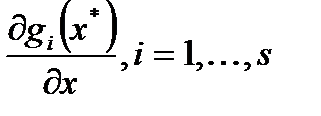
Опр.2: Локальный минимум для задачи с ограничениями типа равенств (точка
) называется регулярным, если набор векторов
линейно независим.
Теорема 3: Пусть
- точка регулярного локального минимума. Тогда в теореме
в условиях нормировки можно сразу положить
.
Док-во:
Пусть
. Тогда справедливо равенство
. Т.к. вектор
, то не все
равны 0. Это противоречит линейной независимости векторов
. Таким образом
и
. ч.т.д.






