Опр. 1. Множество
называется выпуклым, если
и

Теорема1. Пересечение любого количества выпуклых множеств выпукло.
Доказательство:
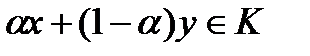
Пусть
множество индексов,
.
А т.к.
выпуклы, то
и
, т.е. оно выпукло.
Опр. 2.
, называется алгебраической линейной комбинацией множеств 
Теорема 2. Любая линейная комбинация конечного числа выпуклых множеств выпукла.
Доказательство:
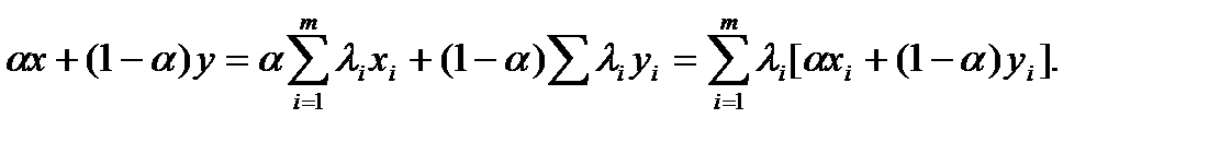
Т.к.
- выпуклы, то
и
.
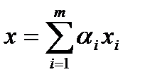
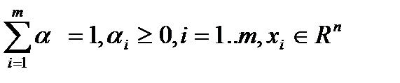
Опр. 3. Точка
, где
называется выпуклой комбинацией точек 
Теорема3.
выпукло ó D содержит все выпуклые комбинации любого конечного числа своих точек.