Необходимость. Если D выпукло, то для двух точек утверждение справедливо. Пусть оно справедливо для
точек, m>2 (доказательство по индукции). Пусть
и
<1 (для определенности). Тогда
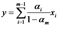
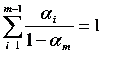
и
выпуклая комбинация и
. Но
=>
.
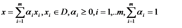
Достаточность. Если
содержит
выпуклую комбинацию своих точек, то оно содержит и любые выпуклые комбинации
двух точек, т.е. является выпуклым.
Замечание. Если
фиксированы, а
их выпуклые комбинации, то
выпуклая комбинация точек
является выпуклой комбинацией точек 






