Методы оптимизации. Ответы на вопросы.
Постановка задачи:
.
Опр.1 Пусть
определена на
. Она дифференцируема в точке
, если
вектор
, для которого
таких, что
, имеет место равенство:
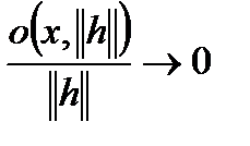
, где
при
.
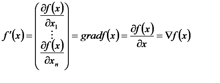
Обозначения вектора
(градиента):

Опр.2:
непрерывно дифференцируема на множестве (3) D, если она определена на D и дифференцируема в каждой точке множества D и
при 
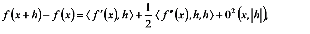
Опр.3:
, определенная на
, дважды непрерывно дифференцируема в точке х, если наряду с
существует симметрическая матрица
размерности nxn, что
таких, что
имеет место
, где
при
, 
Опр.4: Если
определена на D и дважды дифференцируема в
и
при
, то
дважды непрерывно дифференцируема.
Обозначения:
- множество непрерывно дифференцируемых функций,
- множество дважды непрерывно дифференцируемых функций на D.
Необходимые условия локального минимума дифференцируемой функции:
Теорема 1: (Ферма) Пусть
, существует окрестность точки
, целиком содержащаяся в множестве D, и
дифференцируема в точке
. Тогда
.
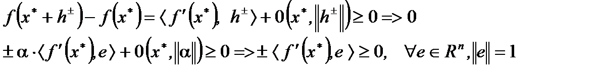
Док-во:
Из определения locmin следует существование окрестности
, что
. Из условия теоремы
, что для всех
будет справедливо
. Из этого включения и условия
вытекает 
|
|
|
Тогда
, что эквивалентно условиям 






